Хімічний зв'язок і будова речовини

Додано: 15 жовтня 2025
Предмет: Хімія, 11 клас
12 запитань
Запитання 1

Температура плавлення кристалічної речовини Y дорівнює 801 oC І водний розчин, і розплав цієї речовини – електропровідні. Який тип кристалічних ґраток речовини Y.

варіанти відповідей

йонні

атомні

металічні

молекулярні

Запитання 2

Укажіть назву речовини з йонними кристалічними ґратками.

варіанти відповідей

кварц

графіт

крейда

мідь

Запитання 3

Фенол – летка з характерним запахом кристалічна речовина. Її температура плавлення близько 40 oС. Укажіть тип кристалічних ґраток фенолу.

варіанти відповідей

йонні

атомні

металічні

молекулярні

Запитання 4

На рисунку схематично зображено кристалічні ґратки речовини, формула якої

варіанти відповідей

H2O

CO2

Cu

I2

Запитання 5

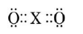
Проаналізуйте електронну формулу молекули (див. рисунок). Укажіть кількість спільних електронних пар, утворених атомом X.


варіанти відповідей

2

4

8

16

Запитання 6

Укажіть формулу речовини йонної будови.

варіанти відповідей

CO2

H2S

CH4

KCI

Запитання 7

Білий фосфор – летка речовина з невисокою температурою плавлення, добре розчиняється у деяких органічних розчинниках і не проводить електричного струму. Кристалічну гратку якого типу має ця речовина?

варіанти відповідей

йонну

молекулярну

атомну

металічну

Запитання 8

Атоми хімічних елементів, утворюючи молекули, намагаються утворити стійку зовнішню оболонку, що містить

варіанти відповідей

шість електронів

три електрони

вісім електронів

чотири електрони

Запитання 9

Ковалентним зв’язком сполучені атоми

варіанти відповідей

неметалічних елементів

неметалічних і металічних елементів

інертних елементів

металічних елементів

Запитання 10

Одним з компонентів електроліту лужних акумуляторів є літій гідроксид. Які кристалічні ґратки в цієї речовини?

варіанти відповідей

молекулярні

атомні

металічні

йонні

Запитання 11

Який тип хімічного зв’язку в молекулі азоту?

варіанти відповідей

металічний

ковалентний полярний

йонний

ковалентний неполярний

Запитання 12

Нафтален - летка з характерним запахом кристалічна речовина. Її температура плавлення близько 80 оС. Укажіть тип кристалічних граток нафталену.

варіанти відповідей

йонні

атомні

металічні

молекулярні

Створюйте онлайн-тести
для контролю знань і залучення учнів
до активної роботи у класі та вдома

Створити тест