Імпульс тіла

Додано: 27 січня
Предмет: Фізика, 7 клас
Копія з тесту: Імпульс тіла
20 запитань
Запитання 1

 Що називають імпульсом тіла?

варіанти відповідей

Суму маси тіла і пройденого шляху

Добуток маси тіла та його швидкості

Середню швидкість руху тіла

Силу, яка діє на тіло

Запитання 2

Якою буквою позначають імпульс тіла?


варіанти відповідей

m

v

p

F

Запитання 3

Одиниця імпульсу в системі SI:


варіанти відповідей

Ньютон

Ньютон · метр

Кілограм · метр за секунду

Метр за секунду

Запитання 4

Від чого залежить імпульс тіла?


варіанти відповідей

Від маси та швидкості

Лише від швидкості

Лише від маси

Від часу руху

Запитання 5

 Тіло не має імпульсу, якщо:


варіанти відповідей

Рухається зі сталою швидкістю

Має малу масу

Має велику масу

Не рухається

Запитання 6

Зміна імпульсу тіла відбувається, коли:


варіанти відповідей

Тіло рухається рівномірно

На тіло не діють сили

На тіло діє інша взаємодія (сила)

Тіло перебуває в спокої

Запитання 7

Коли імпульс збільшується?


варіанти відповідей

Коли швидкість зменшується

Коли маса зменшується

Коли швидкість збільшується

Коли тіло стоїть

Запитання 8

Який імпульс має тіло в момент підкидання м’яча, якщо швидкість м’яча дорівнює нулю?


варіанти відповідей

Найбільший

Нульовий

Середній

Додатній

Запитання 9

Система тіл, які взаємодіють тільки між собою. 

варіанти відповідей

Незамкнена система тіл;               

Відкрита система тіл;                        

Замкнена система тіл;

Внутрішня система тіл.

Запитання 10

Яка одиниця вимірювання імпульсу тіла? 

варіанти відповідей

кг·м/с;           

кг+м/с;        

м/с;           

кг / м/с

Запитання 11

Виберіть приклад реактивного руху. 

варіанти відповідей

Стрибок з жердиною;                        

Рух надзвукового винищувача;

Рух в повітрі мильної бульбашки;             

Рух гоночного автомобіля.

Запитання 12

Знайдіть імпульс сімдесяти кілограмової акули, що пливе зі швидкістю 18 м/с. 

варіанти відповідей

1350 кг* м/с

1300 кг* м/с

1260 кг* м/с

1360 кг* м/с

Запитання 13

Рух, що виникає внаслідок відділення з деякою швидкістю від тіла якоїсь його частини. 

варіанти відповідей

Прогресивний рух.

Активний рух;                                     

Реактивний рух;

Імпульсивний рух;                         

Запитання 14

Які з рухів є прикладами реактивного руху?

варіанти відповідей

рух шайби по льоду

постріл з рушниці

падіння бурульки з даху

людина стрибає на берег з човна

рух кальмара

Запитання 15

Вовк переслідує зайця. Чи наздожене хижак гризуна, якщо їх імпульси однакові? Чому?

варіанти відповідей

наздожене, імпульси ж у тварин однакові

ні, оскільки у зайця більша швидкість

наздожене, бо у вовка більша швидкість

ні, бо у вовка більша маса

Запитання 16

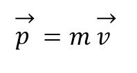
Яку фізичну величину знаходять, використовуючи дану формулу?

варіанти відповідей

 пройдений шлях

імпульс тіла

масу тіла

 густину речовини

Запитання 17

Виберіть, які рухи є реактивними.

варіанти відповідей
Запитання 18

Чи є правильною думка дівчинки?

варіанти відповідей

  не можливо визначити

так

ні

Запитання 19

Чи є правильною думка котика?

варіанти відповідей

ні

правильної відповіді нема

так

Запитання 20

Дівчинка гуляє з собакою, швидкість руху дівчинки та собаки однакова. Маса дівчинки у 8 разів більша, ніж маса собаки. Як відрізняються імпульси дівчинки та собаки?

варіанти відповідей

Імпульс дівчинки дорівнює імпульсу собаки.

Імпульс дівчинки більший, ніж імпульс собаки у 8 разів.

Імпульс дівчинки менший, ніж імпульс собаки у 8 разів.

Створюйте онлайн-тести
для контролю знань і залучення учнів
до активної роботи у класі та вдома

Створити тест