Діагностична робота № 4 з теми «Явище інерції. Інертність та маса тіла. Густина речовини. Імпульс тіла. Реактивний рух» 1 варіант

10 запитань
Запитання 1

Група результатів 1.

Порівняйте густини тіл: 1,3 г/см3 і 760 кг/м3.

варіанти відповідей

1,3 г/см3 = 760 кг/м3

1,3 г/см3 < 760 кг/м3

1,3 г/см3 > 760 кг/м3

1,3 г/см3 ≈ 760 кг/м3

Запитання 2

Група результатів 1.

Яку масу нафти перевезли, якщо бочка має об’єм 0,16 м3, а густина нафти дорівнює 800 кг/м3 ? Відповідь запишіть у кг.

Повний розв'язок задачі надіслати вчителю у письмовому вигляді згідно правил оформлення фізичних задач!

варіанти відповідей

5000 кг

128 кг

0,0002 кг

0,128 кг

Запитання 3

Група результатів 2.

Яка одиниця вимірювання імпульсу тіла?

варіанти відповідей

кг·м/с                           

кг+м/с                      

м/с                           

кг/(м·с)

Запитання 4

Група результатів 2.

Який імпульс розвиває магнітний левітаційний потяг Maglev на швидкості 80 м/с, якщо його маса складає 150 т?

Повний розв'язок задачі надіслати вчителю у письмовому вигляді згідно правил оформлення фізичних задач!

варіанти відповідей

12000 кг·м/с

120000 кг·м/с

1200000 кг·м/с

12000000 кг·м/с

Запитання 5

Група результатів 2.

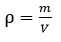
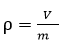
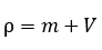
Формула для обчислення густини має вигляд:

варіанти відповідей
Запитання 6

Група результатів 3.

Досліджуючи густини різних речовин, Микита занурив чавунну деталь у мензурку з водою. Визначив об’єм деталі та виміряв за допомогою терезів масу. За даними малюнків розрахуйте знайдену Микитою густину чавуну.

Повний розв'язок задачі надіслати вчителю у письмовому вигляді згідно правил оформлення фізичних задач!


варіанти відповідей

7,1 г/см3

7,1 кг/м3

7 г/см3

7 кг/м3

Запитання 7


4.

Що таке імпульс тіла? (ГР2)

варіанти відповідей

а)

 Фізична величина, що дорівнює відношенню маси і швидкості.

 б)

  Скалярна фізична величина, що визначається добутком маси і швидкості.

 в)

  Векторна фізична величина, яка дорівнює добутку маси тіла та його швидкості.

 г)

Це міра інертності тіла.

Запитання 8

6.

Формула імпульсу тіла має вигляд (ГР2)

варіанти відповідей

а)

p=m⋅v

 б)

p=m÷v


 в)

p=m-v

 г)

p=m+v

Запитання 9

7.

Ігровий бумеранг розвинув швидкість 72 км/год. Яка його маса, якщо імпульс складає 7 кг·м/с ( ГР3)

Повний розв'язок задачі надати вчителю у письмовому вигляді згідно правил оформлення фізичних задач!

варіанти відповідей

а)

140 кг

 б)

0,35 кг

 в)

0,097 кг

 г)

2,86 кг

Запитання 10

Маса кубика 172,8 грама. Довжина сторони 4 см. З якого матеріалу зроблено кубик

варіанти відповідей

олово

алюміній

платина

свинець

Створюйте онлайн-тести
для контролю знань і залучення учнів
до активної роботи у класі та вдома

Створити тест