Контроль успішності № 4 з теми «Явище інерції. Інертність та маса тіла. Густина речовини. Імпульс тіла. Реактивний рух»

7 запитань
Запитання 1

1. Яка фізична величина є мірою інертності тіла? (1 бал)

варіанти відповідей

а) імпульс тіла; 

 б) маса тіла;  

 в) швидкість руху

  г) густина тіла.

Запитання 2

2. Яка одиниця вимірювання імпульсу тіла? (1 бал)

                                                               

варіанти відповідей

а) кг·м/с;    

  б) кг+м/с;

 в) м/с;    

Запитання 3

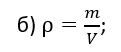
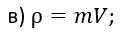
3. Формула для обчислення густини має вигляд: (1 бал)


варіанти відповідей
Запитання 4

4. Порівняйте густини тіл: 0,93 г/см3 і 920 кг/м3. (1 бал)

варіанти відповідей

0,93 г/см3 більше ніж 920 кг/м3

0,93 г/см3 менше ніж 920 кг/м3

0,93 г/см3 дорівнює 920 кг/м3

Запитання 5

5. Яку масу нафти перевезли, якщо бочка має об’єм 0,08 м3, а густина нафти дорівнює 800 кг/м3 ? (2 бали)

варіанти відповідей

64 г

128 кг

64 кг

1280 г

Запитання 6

6. Який імпульс розвиває магнітний левітаційний потяг Maglev на швидкості 250 м/с, якщо його маса складає 180 т? (1 бал)

варіанти відповідей

45 000 000 кг* м/с

45 000 г*см/с

120000 кг* м/с

45 000 кг* м/с

Запитання 7

8. Більярдна куля масою 300 г налітає на таку саму нерухому кулю. Після зіткнення перша куля продовжує свій рух зі швидкістю 0,4 м/с, друга – зі швидкістю 0,8 м/с, рухаючись в цьому самому напрямку. Яку швидкість мала перша куля до зіткнення? (3 бали) 

варіанти відповідей

0,8 м/с

1,2 м/с

1,2 км/год

0,4 км/год

Створюйте онлайн-тести
для контролю знань і залучення учнів
до активної роботи у класі та вдома

Створити тест