Контроль успішності за ГР з теми "Явище інерції. Інертність та маса тіла. Густина речовини. Імпульс тіла. Реактивний рух"

12 запитань
Запитання 1

1. Яка фізична величина є мірою інертності тіла? 

варіанти відповідей

а) імпульс тіла;             


 б) маса тіла;             


в) швидкість руху;           

  г) густина тіла.

Запитання 2

 Яка одиниця вимірювання імпульсу тіла? 

варіанти відповідей

а) кг·м/с;                          

 б) кг+м/с;                      

.

в) м/с;                          

.

г) кг/м/с

Запитання 3

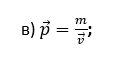
Формула для обчислення густини має вигляд: 

варіанти відповідей
Запитання 4

Пасажир трамваю мимоволі нахилився вперед. Вкажіть, де правильно вказана зміна руху трамваю? 

варіанти відповідей

 а) збільшив швидкість;                    

                           


                         


б) зменшив швидкість;

                         


в) повернув вліво;                         


 г) повернув вправо. 


Запитання 5

Одиниця вимірювання густини речовини в Міжнародній системі одиниць (СІ): 

варіанти відповідей
Запитання 6

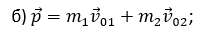
Формула імпульсу тіла має вигляд: ГР2

варіанти відповідей
Запитання 7

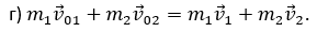
Закон збереження імпульсу тіла для реактивного руху виглядає так: 

варіанти відповідей
Запитання 8

Математичний запис закону збереження імпульсу має вигляд:   ГР2

варіанти відповідей
Запитання 9

Більярдна куля масою 165 г налітає на таку саму нерухому кулю. Після зіткнення перша куля продовжує свій рух зі швидкістю 0,3 м/с, друга – зі швидкістю 0,5 м/с, рухаючись в цьому самому напрямку. Яку швидкість мала перша куля до зіткнення? ГР3

варіанти відповідей
Запитання 10

 Знайдіть об’єм срібного свічника XVII сторіччя масою 840 г, якщо густина срібла складає 10,5 г/см3. (Розв'язок надіслати)

варіанти відповідей

80см3

40см3

80м3

88см3

Запитання 11

 З якою швидкістю літає ворона сіра масою 700 г, якщо її імпульс складає 10,5 кг·м/с? (розв'язок надіслати)

варіанти відповідей

15м/с

1,5м/с

73,5м/с

0,15м/с

Запитання 12



Чому дорівнює маса гепарда, який біжить зі швидкістю 72км/год, якщо його імпульс 720кг⋅м/с( Розв'язок надіслати)

варіанти відповідей

10кг

20кг

36кг

72кг

Створюйте онлайн-тести
для контролю знань і залучення учнів
до активної роботи у класі та вдома

Створити тест