9 клас_Повторення_Раціональні вирази

9 запитань
Запитання 1

Вказати допустимі значення змінної х у раціональному дробі

варіанти відповідей

усі числа, крім 1;       

усі числа;     

усі числа, крім -9 і 1;  

усі числа, крім -9; 

Запитання 2

При якому значенні х дріб  дорівнює нулю?

варіанти відповідей

± 4;     

4;

-4;

16;

Запитання 3

Спростіть вираз 

варіанти відповідей

1

½

0

х+5х+5

Запитання 4

Скоротіть дріб   

варіанти відповідей

4-х3

х-43

х+43

-(х+43)

Запитання 5

Різниця дробів дорівнює:

варіанти відповідей
Запитання 6

Розв'яжіть рівняння

варіанти відповідей

5

-5

0

2,5

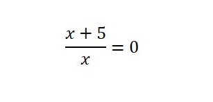
Запитання 7

Розвяжіть рівняння

варіанти відповідей

5

-5

-7

15

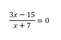
Запитання 8

Розв'яжіть рівняння

варіанти відповідей

3

4

-3

-4

Запитання 9

Розв'яжіть рівняння

варіанти відповідей

2

-2

4

розв'язку не має

Створюйте онлайн-тести
для контролю знань і залучення учнів
до активної роботи у класі та вдома

Створити тест