Контрольна робота № 3 з теми «Електромагнітні коливання і хвилі»

Додано: 2 лютого
Предмет: Фізика, 11 клас
10 запитань
Запитання 1

Які елементи обов’язково мають входити до складу найпростішого коливального контуру?

варіанти відповідей

 Котушка індуктивності та резистор

Конденсатор та котушка індуктивності

Джерело постійного струму та конденсатор

Антена та заземлення

Запитання 2

Як зміниться період вільних електромагнітних коливань у контурі, якщо ємність конденсатора збільшити в 4 рази?

варіанти відповідей

Збільшиться у 4 рази

Зменшиться у 2 рази

 Збільшиться у 2 рази

Не зміниться

Запитання 3

Виберіть правильні твердження щодо електромагнітних хвиль:

варіанти відповідей

Це поперечні хвилі

Для їхнього поширення обов’язково потрібне пружне середовище

Швидкість їх поширення у вакуумі становить приблизно 3⋅108 м/с

Вектори E та B коливаються в одній площині

Запитання 4

Укажіть процеси, на яких ґрунтується робота трансформатора:

варіанти відповідей

Явище самоіндукції

Явище електромагнітної індукції

Термоелектронна емісія

Взаємодія нерухомих зарядів

Запитання 5

 Під час вільних коливань у контурі енергія електричного поля конденсатора періодично переходить в:

варіанти відповідей

Внутрішню енергію дротів

Енергію магнітного поля котушки

Енергію гравітаційної взаємодії

Механічну енергію котушки

Запитання 6

 Які з наведених видів випромінювання належать до електромагнітних хвиль? (Виберіть декілька)

варіанти відповідей

 Радіохвилі

Ультразвук

Рентгенівське випромінювання

Видиме світло

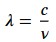
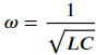
Запитання 7

Виберіть правильні формули, що описують процеси в коливальному контурі:

варіанти відповідей
Запитання 8

Яка фізична величина в колі змінного струму змінюється за гармонічним законом? (Виберіть декілька)

варіанти відповідей

Сила струму

Напруга

Електрорушійна сила

Опір провідника

Запитання 9

Пристрій, який слугує для виділення з усіх отриманих антеною електромагнітних хвиль тільки хвиль бажаної частоти, називається:

варіанти відповідей

Модулятор

Детектор

Тюнер (приймальний контур)

Підсилювач

Запитання 10

Установіть послідовність видів електромагнітних випромінювань у порядку збільшення їхньої частоти:

варіанти відповідей

Радіохвилі → Інфрачервоне → Видиме світло → Рентгенівське

Гамма-промені → Ультрафіолетове→ Радіохвилі

Видиме світло → Радіохвилі → Рентгенівське

Рентгенівське → Видиме світло → Інфрачервоне

Створюйте онлайн-тести
для контролю знань і залучення учнів
до активної роботи у класі та вдома

Створити тест