Контрольна робота № 4 «Квадратична функція. Квадратні нерівності»

Додано: 9 лютого
Предмет: Алгебра, 9 клас
10 запитань
Запитання 1

Розв’язати нерівність x2-5x+6≤0

варіанти відповідей

x ∈[-2; -3]

x ∈[2; -3)

x ∈[2;3]

x ∈(2;3)

Запитання 2

Графіком якої з наведених функцій є парабола?

варіанти відповідей

y=2x+5

у = (x-5)2

y=3:х

y=kx+b

Запитання 3

Куди треба перенести графік функції y=х2, щоб отримати графік функції y=x2+5

варіанти відповідей

на п’ять одиниць вгору

на п’ять одиниць вниз

на п’ять одиниць вправо

на п’ять одиниць вліво

Запитання 4

Визначте координати вершини параболи

у= 2x2 -8х +3

варіанти відповідей

(1;−1)

(2;−5)

(−2;3)

(4;7)

Запитання 5

Знайдіть нулі функції, заданої рівнянням: y=x2−5x+6

варіанти відповідей

x= -1; x= -6

x= -2; x= -3

x=2; x=3

x=1; x=6

Запитання 6

Не виконуючи побудови, знайдіть точки перетину графіка функції з осями координат:

y=x2−4x+3

варіанти відповідей

з Ox: (1;0) і (3;0)

з Oу: (0; 3)

з Ox: (-1;0) і (-3;0)

з Oу: (0; -3)

з Ox: (2;5) і (5; 2)

з Oу: (0; 3)

з Ox: (-2; -5) і (-5; -2)

з Oу: (0; 3)

Запитання 7

Розв’яжіть нерівність:

2x2−8x+6≥0

варіанти відповідей

x∈(−∞;1]∪[3;+∞)

x∈[1;3]

x∈(−∞;1)∪(3;+∞)

x∈[1;3)

Запитання 8

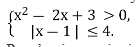
Розв’яжіть систему нерівностей


варіанти відповідей

[-5;3]

[-3;5]

[-∞;∞]

(-∞;-5)υ(3;∞)

Запитання 9

Розв’яжіть нерівність:

(х + 1)( 5 - х)( х + 4)≥0

варіанти відповідей

[−5;1]υ[4;∞)

[−4;-1]υ[5;∞)

(−∞;-1]υ[5;∞)

[−∞;-5]υ[1;∞)

Запитання 10

Знайдіть область визначення функції:



варіанти відповідей

хє [-2;7]

(-3;-2]υ(2;7]

хє (2;7]

(-3;2)

Створюйте онлайн-тести
для контролю знань і залучення учнів
до активної роботи у класі та вдома

Створити тест