Контрольна робота № 4 " Квадратна нерівність. Система двох рівнянь з двома змінними "

Додано: 3 березня
Предмет: Алгебра, 9 клас
6 запитань
Запитання 1

1. Яка з нерівностей є квадратною: 



варіанти відповідей

2 – 3х3 ≥ 0

         

2 – 9 ≤ 0

2х - 9 > 0

Запитання 2

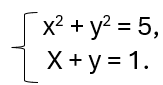
2. Укажіть пару чисел , яка є розв’язком системи рівнянь: 

варіанти відповідей

(-3;4)

(3; 4)

(-3; -4)

Запитання 3

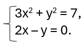
3. Розв'яжіть систему рівнянь:

варіанти відповідей

( -1; 3,5); (4; 1)

(-3,5; 1); (-4; 1)

(-1; 4); (1; 3,5)

Запитання 4

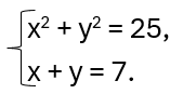
4. Укажіть систему рівнянь, яку задовольняє пара чисел (1; 2)

варіанти відповідей
Запитання 5

5. Знайдіть сторони прямокутника, периметр якого дорівнює 46 см, а довжина діагоналі дорівнює 17 см.

варіанти відповідей

(16; 1) або (1; 16)

(15; 8) або (8; 15)

(12; 5) або (5; 12)

Запитання 6

6. Скільки кілограмів 25 – відсоткового і скільки кілограмів 50-відсоткового сплавів міді треба взяти, щоб отримати 20 кг 40-відсоткового сплаву?

варіанти відповідей

25% - 11 кг; 50% - 9кг

25% - 7кг; 50% - 13кг

25% - 8кг;  50% - 12 кг

Створюйте онлайн-тести
для контролю знань і залучення учнів
до активної роботи у класі та вдома

Створити тест