Контрольна робота "Додавання і віднімання векторів" 9 кл

Додано: 31 січня
Предмет: Геометрія, 9 клас
17 запитань
Запитання 1

Зайти суму векторів

варіанти відповідей

(6; 2)

(2; 2)

(-3; 3)

(6; 12)

Запитання 2

Знайти різницю

варіанти відповідей

(-5; -7)

(-3; -1)

(3; 1)

(-3; -5)

Запитання 3

Знайти х та у

варіанти відповідей

(4; 4)

(4; -4)

(-4; 4)

(-4; -4)

Запитання 4

Встановіть відповідність між малюнком і записом векторів суми або різниці

варіанти відповідей

1-Г 2-А 3-Б

1-Б 2-А 3-Г

1-А 2-Б 3-Г

1-А 2-Г 3-Б

Запитання 5

Встановіть відповідність 

варіанти відповідей

1-Б, 2-А

1-Б, 2-В

1-А, 2-В

1-В, 2-Б

Запитання 6

Визначте модуль вектора d= a-b, якщо 

варіанти відповідей

3√10

√19

19

21

Запитання 7

Чим буде результат додавання або віднімання двох векторів?

варіанти відповідей

відрізком

вектором

прямою

променем

Запитання 8

Дано точки А(-1; 2), В(2; -1), С(1; 3). Сума векторів ̅АВ і ̅СD дорівнює нулю. Чому дорівнюють координати точки D?

варіанти відповідей

(-6; 4)

(-4; -6)

(4; 6)

(4; -6)

Запитання 9

Визначте вид чотирикутника АBCD, якщо вектори BC̅∥D̅A і A̅В≠D̅C

варіанти відповідей

трапеція

ромб

прямокутник

паралелограм

Запитання 10

Дано точки А(-1; 4), В(3; -1), С(2;2), D(0;1). Укажіть правильну рівність

варіанти відповідей

А̅В = C̅D

А̅В = DC̅

А̅C = DB̅

А̅C = B̅D

Запитання 11

У прямокутнику АВСD АВ=3, ВС =4, М - середина діагоналей. Тоді довжина векторів  і АМ відповідно будуть дорівнювати

варіанти відповідей

3 і 4

3 і 2,5

4 і 5

4 і 3

Запитання 12

ABCD – паралелограм. Знайдіть суму векторів АВ + СА.

варіанти відповідей

СВ

АD

DA

ВС

Запитання 13

ABCD – паралелограм. Знайдіть суму векторів АВ + BD + DC.

варіанти відповідей

ВС

АС

ДА

ВА

Запитання 14

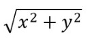
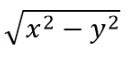
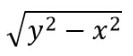
Оберіть правильний варіант формули для обчислення модуля вектора АВ(х, у).

варіанти відповідей
Запитання 15

Знайдіть модуль вектора АВ(х, у), якщо А(0; 2), В(3; –2).

варіанти відповідей

4

5

6

16

25

Запитання 16

Вектор АВ(5; 3) відкладено від точки А(–1; 5). Знайдіть координати точки В.

варіанти відповідей

(4; 8)

(6;8)

(4; -2)

(6; -2)

Запитання 17

Модуль вектора АВ(3; у) дорівнює 5. Відмітьте можливі значення у.

варіанти відповідей

4

3

-5

16

-16

-3

-4

5

Створюйте онлайн-тести
для контролю знань і залучення учнів
до активної роботи у класі та вдома

Створити тест