Контрольна робота "Ірраціональні рівняння та нерівності"

Додано: 2 грудня 2025
Предмет: Алгебра, 10 клас
12 запитань
Запитання 1

Чи має зміст вираз?

варіанти відповідей

так

ні

Запитання 2

Обчисліть значення виразу    

варіанти відповідей

18

20

16

Запитання 3

Спростіть вираз

варіанти відповідей
Запитання 4

Розв'яжіть рівняння

варіанти відповідей

32

64

128

Запитання 5

Розв'яжіть рівняння

варіанти відповідей

2; -1

2; 1

2

1

Запитання 6

Знайдіть корені рівняння

варіанти відповідей

1,25

6/5

5/6

1,4

Запитання 7

Знайдіть корені рівняння

варіанти відповідей

3,5

-7; 2

2

7; 2

Запитання 8

Розв'яжіть рівняння

варіанти відповідей

2; 3

4; 9

16; 81

16

Запитання 9

Знайдіть корені рівняння

варіанти відповідей

4; 20

20

-4

-4; 20

Запитання 10

Розв'яжіть нерівність

варіанти відповідей

немає розв'язку

[3; +∞)

(3; +∞)

(7; +∞)

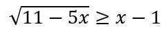
Запитання 11

Розв'яжіть нерівність

варіанти відповідей

[-5; 8]

(1,5; 8)

[-5; 1,5)

(1,5; 8]

Запитання 12

Розв'яжіть нерівність

варіанти відповідей

[-5; 1]

[1; 2]

[-5; 2]

[1; +∞)

Створюйте онлайн-тести
для контролю знань і залучення учнів
до активної роботи у класі та вдома

Створити тест