10 клас. Самостійна робота "Степенева функція. Ірраціональні рівняння"

Додано: 5 грудня
Предмет: Алгебра, 10 клас
10 запитань
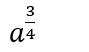
Запитання 1

Чи має зміст вираз?

варіанти відповідей

так

ні

Запитання 2

Обчисліть значення виразу    

варіанти відповідей

18

20

16

− 14

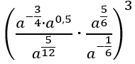
Запитання 3

Спростіть вираз

варіанти відповідей
Запитання 4

Розв'яжіть рівняння

варіанти відповідей

32

64

128

− 24

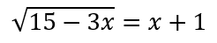
Запитання 5

Розв'яжіть рівняння

варіанти відповідей

2; -1

2; 1

2

1

Запитання 6

Знайдіть корені рівняння

варіанти відповідей

1,25

65

56

1,4

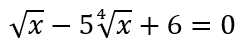
Запитання 7

Знайдіть корені рівняння

варіанти відповідей

3,5

− 7; 2

2

7; 2

Запитання 8

Розв'яжіть рівняння

варіанти відповідей

2; 3

4; 9

16; 81

16

Запитання 9

Знайдіть корені рівняння

варіанти відповідей

4; 20

20

− 4

− 4; 20

Запитання 10

Чому дорівнює значення виразу ∜112 ∶ ∜7

варіанти відповідей

2

4

5

6

Створюйте онлайн-тести
для контролю знань і залучення учнів
до активної роботи у класі та вдома

Створити тест