Контрольна робота № 2 " Степенева функція" 12/11

Додано: 10 листопада
Предмет: Алгебра, 10 клас
10 запитань
Запитання 1

Обчислити 10∛-27

варіанти відповідей

30

-30

-90

90

Запитання 2

Спростити вираз а⋅а−⅜

варіанти відповідей

а¼

а¾

а

а½

Запитання 3

Знайти значення виразу (с-0,2 )⋅ (с): (с0,4)

варіанти відповідей

с-⅙

с

с

с

Запитання 4

Скоротіть дріб ( х0,8- у0,8) : (х0,40,4)

варіанти відповідей

х0,4- у0,4

х0,40,4

0,40,4)-1

0,40,4)-1

Запитання 5

Знайти значення виразу (∜3) :(2∜48)

варіанти відповідей

¼

½

1

2

Запитання 6

Спростити вираз 3∜а4 + ∛а3 , якщо а < 0.

варіанти відповідей

-2а

-4а

Запитання 7

Задано функцію f(x) = ∛∣x-2∣.

Знайти найменше значення функції у=f(х) на проміжку [-6;1].


варіанти відповідей

-2

-1

2

1

Запитання 8

Задано функцію f(x) = ∛∣x-2∣.

Знайти найбільше значення функції у=f(х) на проміжку [-6;1].

варіанти відповідей

-2

-1

2

1

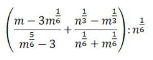
Запитання 9

Спростіть вираз

варіанти відповідей

-2

-1

2

1

Запитання 10

Розв'яжіть рівняння

варіанти відповідей

-4

1/2

-1/2

0

1

-2

Створюйте онлайн-тести
для контролю знань і залучення учнів
до активної роботи у класі та вдома

Створити тест