"Тотожні перетворення раціональних виразів. Раціональні рівняння"

9 запитань
Запитання 1

Виконайте множення:

варіанти відповідей
Запитання 2

Піднесіть до степеня дріб

варіанти відповідей
Запитання 3

Виконайте ділення:

варіанти відповідей
Запитання 4

Знайдіть частку

варіанти відповідей
Запитання 5

Які з наведених рівнянь рівносильні?

варіанти відповідей
Запитання 6

Розв'яжіть рівняння

варіанти відповідей

24,5

7

-7 і 7

-7

Запитання 7

Розв'яжіть рівняння


варіанти відповідей

Рівняння не має розв'язку

-10

10

8

Запитання 8

Спростіть вираз


варіанти відповідей
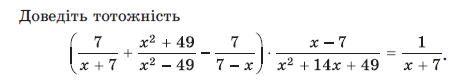
Запитання 9

Відкрита відповідь. Письмое розвязання.

варіанти відповідей

Доведено

Не доведено

Створюйте онлайн-тести
для контролю знань і залучення учнів
до активної роботи у класі та вдома

Створити тест