Тест "Відношення. Пропорція. Пряма пропорційна залежність. Масштаб"

9 запитань
Запитання 1

Укажи відношення, яке разом із відношенням 24 : 8 , утворюють пропорцію

варіанти відповідей

18 : 6

12 : 6

12 : 4

45 : 15

Запитання 2

За кілька однакових зошитів заплатили 18 грн. Скільки заплатять за такі самі зошити, якщо їх буде вдвічі менше

варіанти відповідей

9 грн

6 грн

16 грн

36 грн

Запитання 3

Визнач маштаб на карті, якщо 1 см відповідає 20 км на місцевості

варіанти відповідей

1 : 20 000

1 : 200 000

1 : 2 000 000

1 : 2 000

Запитання 4

Знайти відношення

1 м до 50 см

варіанти відповідей

1 : 2

1 : 50

2 : 1

50 : 1

Запитання 5

На пошиття 10 однакових костюмів витратили 42 м тканини. Скільки потрібно тканини, щоб пошити 12 таких костюмів

варіанти відповідей

5,04 м

50,2 м

50,4 м

50 м

Запитання 6

Відстань між двома містами на карті, масштаб якої дорівнює

1 : 6 000 000 дорівнює 4,5 см. Обчисли відстань між цими містами на місцевості

варіанти відповідей

270 км

27 км

2,7 км

75 км

Запитання 7

Периметр трикутника дорівнює 90 см, а довжини його сторін відносяться як

6 : 5 : 4 . Знайти найменшу сорону трикутника

варіанти відповідей

19 см

36 см

30 см

24 см

Запитання 8

Розв'язати рівняння

х : 6 = 7 : 3

варіанти відповідей

5

3

15

14

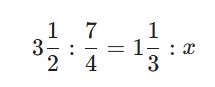
Запитання 9

Розв'яжи рівняння

варіанти відповідей

2

1/4

0,6

2/3

Створюйте онлайн-тести
для контролю знань і залучення учнів
до активної роботи у класі та вдома

Створити тест