9 фіз КР№4 «Фізика атома та атомного ядра. Фізичні основи атомної енергетики»

15 запитань
Запитання 1

Пристрій, призначений для здійснення керованої ланцюгової реакції поділу, яка завжди супроводжується виділенням енергії.

варіанти відповідей

Радіометр

Дозиметр

Ядерний реактор

Саркофаг

Запитання 2

Яка одиниця вимірювання активності радіоактивного джерела?

варіанти відповідей

Бк

Зв 

Гр

1/с

Запитання 3

Процес, у якому одна проведена реакція викликає подальші реакції такого самого типу.

варіанти відповідей

Радіоактивність

Ланцюгова ядерна реакція

Розщеплення ядра             

Термоядерний синтез

Запитання 4

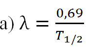
Яка одиниця вимірювання сталої радіоактивного розпаду радіонукліда?

варіанти відповідей

Бк

Зв 

Гр

1/с

Запитання 5

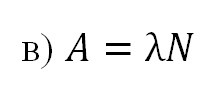
Формула для обчислення еквівалентної дози йонізуючого випромінювання.

варіанти відповідей
Запитання 6

Скільки протонів і скільки нейтронів міститься в ядрі атому Титану ? 

варіанти відповідей

A=22; Z=48; N=48-22=26

A=48; Z=26; N=22

A=22; Z=26; N=48

A=48; Z=22; N=48-22=26

Запитання 7

Тіло опромінюють α-променями. Знайдіть еквівалентну дозу йонізуючого випромінювання, якщо поглинута доза становить 2 Гр. Коефіцієнт якості α-випромінювання дорівнює 20.

варіанти відповідей

25 Зв

10 Зв

40 Зв

Запитання 8

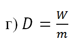
Формула для обчислення поглинутої дози йонізуючого випромінювання.

варіанти відповідей
Запитання 9

Вкажіть правильне рівняння β-розпаду для елемента

варіанти відповідей
Запитання 10

Вкажіть правильне рівняння α-розпаду для елемента

варіанти відповідей
Запитання 11

Тіло масою 5 кг опромінюють α-променями. Знайдіть енергію йонізуючого випромінювання, передану тілу, якщо еквівалентна доза цього випромінювання становить 2 мЗв. Коефіцієнт якості α-випромінювання дорівнює 20.

варіанти відповідей

W=0.5 кДж

W=0.5 мДж

W=2 мДж

W=0.5 Дж

Запитання 12

Половина ядер радіоактивного ізотопу Йоду розпадається за 8 діб. Яка частина ядер залишиться через 40 діб?

варіанти відповідей

1/16

 1/4

 1/8

 1/32 

Запитання 13

Тіло масою 5 кг опромінюють β-променями. Знайдіть поглинуту дозу йонізуючого випромінювання, якщо енергія йонізуючого випромінювання, передана тілу, становить 30 Дж

варіанти відповідей

D=6 Гр.

D=0,66 Гр. 

D=0,6Гр.

D=60 Гр.

Запитання 14

Позначте компоненти радіаційного фону Землі

варіанти відповідей

космічне випромінювання 

медичні дослідження

телевізори, монітори

будівельні матеріали

рослини

Запитання 15

За якою формулою можна визначити кількість нейтронів у ядрі атома?

варіанти відповідей

N=A+Z

 N=A-Z

N=Z-A

N=Z*A

Створюйте онлайн-тести
для контролю знань і залучення учнів
до активної роботи у класі та вдома

Створити тест