Корекція та контроль знань з теми «Рух і взаємодія. Закони збереження» (частина І)

7 запитань
Запитання 1

Існують такі системи відліку, відносно яких тіло зберігає стан спокою або рівномірного прямолінійного руху, якщо на тіло не діють жодні сили або ці сили скомпенсовані. 

варіанти відповідей

Перший закон Ньютона                    

Другий закон Ньютона                    

Третій закон Ньютона

Закон всесвітнього тяжіння


Запитання 2

За якою формулою визначають силу тертя? 

варіанти відповідей

F=mg

F=μN

F=kx

F=ρрідини(газу)gVзан

Запитання 3

Яка одиниця вимірювання прискорення? 

варіанти відповідей

м

с

м/с

м/с2

Запитання 4

Тіла взаємодіють одне з одним із силами, які напрямлені вздовж однієї прямої, рівні за модулем і протилежні за напрямком. 

варіанти відповідей

Другий закон Ньютона

Третій закон Ньютона

Перший закон Ньютона

Закон всесвітнього тяжіння

Запитання 5

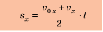
За якою формулою визначають проекцію вектора прискорення?

варіанти відповідей
Запитання 6

Що відбудеться з прискоренням тіла, якщо силу збільшити вдвічі (маса стала)?

варіанти відповідей

Зменшиться вдвічі

Не зміниться

Збільшиться вдвічі

Збільшиться вчетверо

Запитання 7

На тіло масою 2 кг діє сила 6 Н. Яке прискорення?

варіанти відповідей

12 м/с²

 3 м/с²

8 м/с²

4 м/с²

Створюйте онлайн-тести
для контролю знань і залучення учнів
до активної роботи у класі та вдома

Створити тест