Квадратні рівняння. Формула коренів квадратного рівняння

Додано: 16 березня
Предмет: Алгебра, 8 клас
20 запитань
Запитання 1

Яке з наведених рівнянь не є квадратним?

варіанти відповідей

2 + 4 = 0

2 = 0

х2 - 9 = 0


2 + 5х + 6=0

Запитання 2

Яке з квадратних рівнянь є неповним?

варіанти відповідей

2 + 5х - 2 = 0

х2 - 4х = 8

х2 = х - 3

2 + 48 = 0

Запитання 3

Яке з квадратних рівнянь є повним?

варіанти відповідей

2(х - 3) = 50

х2 + 3х = 0

4х(х - 1) = 3

2 + 3х + 7 = 3(х + 1)

Запитання 4

Знайдіть дискримінант квадратного рівняння х2 - 5x - 4 =0

варіанти відповідей

41

9

21

26

Запитання 5

Визначте кількість коренів рівняння 3х2 - х +18 = 0

варіанти відповідей

один

два

жодного

безліч

Запитання 6

Визначте кількість коренів рівняння: 0,5х2 - 2 = 0

варіанти відповідей

один

два

жодного

безліч

Запитання 7

Знайдіть корені рівняння: 5х2 - 7х +2 = 0

варіанти відповідей

2 і 5

0,4 і 1

-2 і -5

рівняння коренів не має

Запитання 8

Знайдіть корені квадратного рівняння: 4 + 6х - х2 = 0

варіанти відповідей

- 0,75 - 0,25√13; - 0,75 + 0,25√13

0,75 - 0,25√13; 0,75 + 0,25√13

3 - √13; 3 + √13

1; 0

Запитання 9

Назвіть старший коефіцієнт квадратного рівняння -3х2 - 13х + 14 = 0.

варіанти відповідей

-3

-13

14

0

Запитання 10

Скільки коренів має квадратне рівняння х2 - 6х + 9=0 ?

варіанти відповідей

один

два

безліч

жодного

Запитання 11

У рівнянні 3х² - 9х + 28 = 0 другий коефіцієнт дорівнює:

варіанти відповідей

3

9

-9

28

Запитання 12

Назвіть вільний член квадратного рівняння -2х² - 13х + 6 = 0 є неповним квадратним рівнянням

варіанти відповідей

-2

-13

6

0

Запитання 13

Скільки коренів має квадратне рівняння, якщо D = - 16?



варіанти відповідей

 один


 два різних

 

два однакових


 жодного

Запитання 14

Розв’яжіть рівняння (х+2)2=6х+7

З

-3 і -1

-3 і 1

-1 і 3

1 і 3 

 

 

варіанти відповідей

-1 і 3

-1 і -3

-3 і 1

-3 і -1

Запитання 15

Розв'язати рівняння х²+5х-14 = 0

У відповідь записати менший корінь рівняння


варіанти відповідей

-7

-2

2

7

Запитання 16

Розв'язати рівняння (4х+1)(2х-3)=0

У відподь записати суму коренів рівняння.


варіанти відповідей

1

5/4

3/4

4/3

Запитання 17

Розв'яжи рівняння, використовуючи метод заміни:


варіанти відповідей

5; -3

1; -1; 5

1; -3; 5

-1; 1; -3; 5

Запитання 18

Розв'яжіть рівняння:

варіанти відповідей

-3; 3

немає коренів

безліч коренів

правильна відповідь відсутня

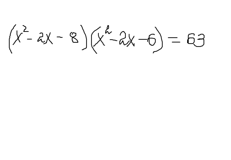
Запитання 19

Знайди корені рівняння:

варіанти відповідей

4; 6

коренів немає

-4; -6; 4

-4; 4; -6; 6

Запитання 20

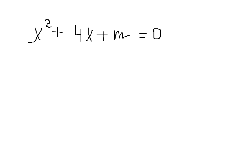
При яких значеннях m рівняння матиме один корінь ?

варіанти відповідей

4

-4

2

¼

Створюйте онлайн-тести
для контролю знань і залучення учнів
до активної роботи у класі та вдома

Створити тест