Математичний та пружинний маятники

Додано: 14 січня 2025
Предмет: Фізика, 11 клас
11 запитань
Запитання 1

У якому випадку період математичного маятника не зміниться, якщо

варіанти відповідей

збільшити його довжину

зменшити його довжин

збільшити масу кульки (тіла)

перемістити його з полюса Землі на екватор

Запитання 2

У якому випадку не зміниться період коливання вантажу на пружині, якщо

варіанти відповідей

збільшити масу вантажу

зменшити масу вантажу

замінити пружину на пружину іншої жорсткості

немає правильної відповіді

Запитання 3

До якого виду коливань можна віднести коливання мавпи на ліані

варіанти відповідей

до автоколивань

до вимушених коливань

до вільних коливань

до незатухаючих

Запитання 4

Як зміниться період коливань вантажу на пружині, якщо масу його зменшити в чотири рази

варіанти відповідей

збільшиться у 4 рази

зменшиться у 4 рази

збільшиться у 2 рази

зменшиться у 2 рази

Запитання 5

На яку найбільшу відстань від положення рівноваги відхилиться кулька, підвішена на нитці, при амплітуді коливань 2 см?

варіанти відповідей

2 см

4 см

√2

Запитання 6

Як зміниться період коливань математичного маятника при збільшенні маси кульки у 2 рази?

варіанти відповідей

збільшиться в 2 рази

збільшиться в 4 рази

збільшиться в √2 разів

не зміниться

Запитання 7

Тягарець масою 250 г, підвішений до пружини жорсткістю 100 Н/м, коливається з амплітудою 3 см. Якім буде рівняння руху тягарця

варіанти відповідей

х=0,3sin20t

x=3cos200t

x=0,03cos2t

x=0,03cos20t

Запитання 8

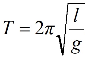
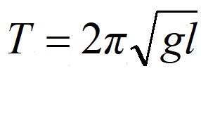
Яка з наведених формул записана правильно?

варіанти відповідей
Запитання 9

Тіло, малих розмірів підвішене на нитці та здійснює незатухаючі коливання. За рівнянням залежності координати коливального тіла від часу (всі величини задані в СІ) x=5sin(πt+π/4) визначте циклічну частоту коливань

варіанти відповідей

π рад/с

π/2 рад/с

5 рад/с

π/4 рад/с

Запитання 10

Тіло, малих розмірів підвішене на нитці та здійснює незатухаючі коливання. За рівнянням залежності координати коливального тіла від часу (всі величини задані в СІ) x=5sin(πt+π/4) визначте амплітуду коливань

варіанти відповідей

005 м

5 см

5 м

π/4 м

Запитання 11

Тіло, малих розмірів підвішене на нитці та здійснює незатухаючі коливання. За рівнянням залежності координати коливального тіла від часу (всі величини задані в СІ) x=5sin(πt+π/4) визначте початкову фазу коливань

варіанти відповідей

π рад

π/2 рад

5 рад

π/4 рад

Створюйте онлайн-тести
для контролю знань і залучення учнів
до активної роботи у класі та вдома

Створити тест