Метод інтервалів

Додано: 17 січня
Предмет: Алгебра, 9 клас
7 запитань
Запитання 1

Розв'язати нерівність:

варіанти відповідей

(-12; 4)⋃ (20; +∞)

(-∞; - 12)⋃(4; 20)

(12; 4)⋃ (20; +∞)

(-12; - 4)⋃ (20; +∞)

Запитання 2

Розв'язати нерівність:

варіанти відповідей

( -∞; 7) ⋃ (2; 5)

( -∞; - 5) ⋃ (2; + ∞)

( -∞; - 7) ⋃ (2; 5)

( -7; 2)

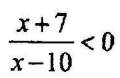
Запитання 3

Розв'язати нерівність:

варіанти відповідей

( -10; 7)

(7 ; 10)

( -7; 10)

(-∞; 7)

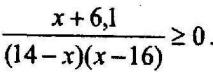
Запитання 4

Розв'язати нерівність:

варіанти відповідей

(- 6,1; 14) ∪ (16; + ∞)

(- ∞ ; - 6,1) ∪ (14; 16)

(14; 16)

(- ∞ ; - 6,1 ] ∪ (14; 16)

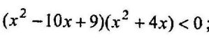
Запитання 5

Розв'язати нерівність:

варіанти відповідей

( -4; 0) ∪ (9; +∞)

( 4; 0)∪ (1; 9)

( -4; 0)∪ (1; 9)

( -9; 0)∪ (1; 4)

Запитання 6

Розв'язати нерівність:

варіанти відповідей

( 4; + ∞)

( - 4; + ∞)

( - 2; 3) ∪ (4; +∞)

(- ∞; -2)∪ (4; +∞)

Запитання 7

Розв'язати нерівність:

варіанти відповідей

[3; 6] ∪{-2}

(3; 6) ∪{2}

(2; 3) ∪ (6; +∞)

[2; 3] ∪ (6; +∞)

Створюйте онлайн-тести
для контролю знань і залучення учнів
до активної роботи у класі та вдома

Створити тест