Множення дробів. Піднесення дробу до степеня 8 клас

Додано: 21 жовтня 2025
Предмет: Алгебра, 8 клас
7 запитань
Запитання 1

Оберіть правильний варіант формули піднесення дробу до степеня

варіанти відповідей
Запитання 2

Оберіть правильний варіант формули множення дробів

варіанти відповідей
Запитання 3

Виконайте дії

варіанти відповідей
Запитання 4

Виконайте дії

варіанти відповідей
Запитання 5

Піднесіть дріб до степеня

варіанти відповідей
Запитання 6

Піднесіть дріб до степеня

варіанти відповідей
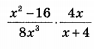
Запитання 7

Cпростити вираз

варіанти відповідей

(х+4)/2х2

(х-4)/2х2

2

1/х

Створюйте онлайн-тести
для контролю знань і залучення учнів
до активної роботи у класі та вдома

Створити тест