Найбільше і найменше значення функції

Додано: 11 березня 2025
Предмет: Алгебра, 10 клас
22 запитання
Запитання 1

Необхідною умовою екстремуму є

варіанти відповідей

f ′(x)>0

f ′(x)<0

f ′(x)=0

Запитання 2

Алгоритм знаходження найбільшого і найменшого значення функції:

варіанти відповідей

обчислюємо значення функції у вибраних критичних точках та на кінцях заданого проміжку

знаходимо похідну функції та критичні точки

обираємо ті критичні точки, які належать даному проміжку

перевіряємо, що проміжок належить області визначення функції

Запитання 3

На малюнку зображено графік функції y=f(x), заданої на проміжку [1;7]. Визначіть найбільше і найменше значення функції на цьому проміжку.

варіанти відповідей

уmax=6; ymin=1

уmax=7; ymin=1

уmax=6; ymin=2

уmax=7; ymin=2

Запитання 4

Знайти найбільше і найменше значення у=2х3 + 3х2 - 12х + 3 на проміжку [-3;0]

варіанти відповідей

ymin= -3; ymax= 23

ymin= 3; ymax= 23

ymin= -3; ymax= -23

ymin= -23; ymax= 3

Запитання 5

Площа прямокутника дорівнює 64 см2. Якими повинні бути сторони цього прямокутника,щоб його периметр був найменшим?

варіанти відповідей

це квадрат зі стороною 8 см

прямокутник зі сторонами 2 см і 32 см

прямокутник зі сторонами 4 см і 16 см

це квадрат зі стороною 16 см

Запитання 6

На малюнку зображено графік функції y=f(x), заданої на проміжку [-2;5]. Визначіть найбільше значення функції на цьому проміжку.

варіанти відповідей

5

1

0

4

Запитання 7

Знайдіть найменше значення функції f(x) = 3x -7, на проміжку [0; 2].

варіанти відповідей

-7

3

-1

-2

Запитання 8

Поділіть відрізок завдовжки 12 см на два таких відрізки, щоб прямокутник, сторонами якого вони будуть, мав найбільшу площу.

варіанти відповідей

6 см і 6 см

2 см і 10 см

4 см і 8 см

5 см і 7 см

Запитання 9

Знайдіть найбільше значення функції g(x) = x2 - 4x, на проміжку [0; 1].

варіанти відповідей

0

1

-4

-3

Запитання 10

Знайдіть найбільше значення функції g(x) = x2 - 4x, на проміжку [0; 1].

варіанти відповідей

4

1

0

-3

Запитання 11

Подайте число 8 у вигляді суми двох таких невід’ємних чисел, щоб добуток одного із цих чисел і куба другого числа був найбільшим.

варіанти відповідей

2 і 6

3 і 5

1 і 7

4 і 4

Запитання 12

На відрізку [а; в] функція має максімуми, що дорівнюють 3 і 6, і мінімум, що дорівнює 2, значення функції на кінцях відрізку f(a) = -2, f(в) = 0. Чому дорівнюють найбільше і найменше значення функцій на заданому відрізку?

варіанти відповідей

-2


3


6


0


2

Запитання 13


Знайдіть найбільше і найменше значення функції у=х3 + 3/2 хна проміжку [-2; 1]


варіанти відповідей

2,5

 

3


0


-2



-3

Запитання 14


Знайдіть найбільше і найменше значення функції у = (х2 - 3х)/(х- 4) на проміжку [-1; 3]


варіанти відповідей

-1


1

 

0,4


-0,4


3


2

Запитання 15

Подайте число 36 у вигляді суми двох додатніх чисел так, щоб їхній добуток був найбільшим


варіанти відповідей

24 і 12


23 і 13

 

18 і 18


20 і 16

Запитання 16

Задано функцію f(x)=x3-12x2+45x+5 на проміжку [0;4]. В яких точках потрібно шукати максимальне і мінімальне значення цієї функції?


варіанти відповідей

0, 3, 4, 5

 

3, 4, 5


0, 4, 3


0, 4, 5

Запитання 17

Знайдіть суму найбільшого та найменшого значення функції на проміжку [0;3]. f(x)=2x3+3x2-12x+1


варіанти відповідей

20


40


30


50

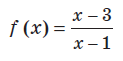
Запитання 18

Оберіть вертикальні асимптоти графіка функції


варіанти відповідей

не існує


х=1


у=1


у=3


х=3

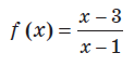
Запитання 19

Оберіть горизонтальні асимптоти графіка функції


варіанти відповідей

не існує


х=1

 

у=1

 

у=3


х=3

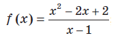
Запитання 20

Оберіть вертикальні асимптоти графіка функції


варіанти відповідей

х=0


х=1

 

у=1


не існує

Запитання 21

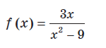
Оберіть вертикальні асимптоти графіка функції


варіанти відповідей

у=0


х=0

 

у=3


х=3


у=-3

 

х=-3


не існує

Запитання 22

Оберіть горизонтальні асимптоти графіка функції


варіанти відповідей

у=0

 

х=0


у=3

 

х=3


у=-3


х=-3


не існує

Створюйте онлайн-тести
для контролю знань і залучення учнів
до активної роботи у класі та вдома

Створити тест