Найпростіші перетворення графіків функцій

Додано: 10 листопада 2025
Предмет: Алгебра, 9 клас
8 запитань
Запитання 1

1.    Графік функції y = -f(x) можна отримати із графіка функції  

y = f(x) шляхом

варіанти відповідей

А) паралельного перенесення вздовж осі Ох;

Б) паралельного перенесення вздовж осі Ох;

В) стиснення вздовж осі Ох;

Г) симетричного відображення відносно осі Ох

Запитання 2

1.    Графік функції  y =3f(x) можна отримати з графіка функції y = f(x) шляхом

варіанти відповідей

А) паралельного перенесення вздовж осі Ох на 3 одиниці вправо;

Б) паралельного перенесення вздовж осі Оу на 3 одиниці вгору;

В) розтягнення вздовж осі Оу у 3 рази;

Г) розтягнення вздовж осі Ох у 3 рази.

Запитання 3

Графік функції y = f(x) +2, отриманий з графіка функції y = f(x), зображений на малюнку

варіанти відповідей
Запитання 4

Вибери правильну відповідь

варіанти відповідей
Запитання 5

На малюнку зображені графіки функцій y = f(x)  і  y = g(x). Яке з тверджень є правильним: 

варіанти відповідей
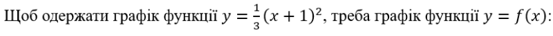
Запитання 6

Вибери правильну відповідь

варіанти відповідей

стиснути вздовж осі Оу у 3 рази і виконати паралельне перенесення вправо вздовж осі Ох на 1 одиницю;

Б) розтягнути вздовж осі Оу у 3 рази і виконати паралельне перенесення вліво вздовж осі Ох на 1 одиницю;

В) стиснути вздовж осі Оу у 3 рази і виконати паралельне перенесення вліво вздовж осі Ох на 1 одиницю;

 Г) розтягнути вздовж осі Оу у 3 рази і виконати паралельне перенесення вправо вздовж осі Ох на 1 одиницю.

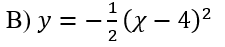
Запитання 7

Функцію y = f(x), яку отримали з графіка функції y = x2

 

  шляхом перетворень і зображено на малюнку, можна задати формулою: 

варіанти відповідей
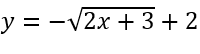
Запитання 8

На якому малюнку зображений графік даної функції

варіанти відповідей

Створюйте онлайн-тести
для контролю знань і залучення учнів
до активної роботи у класі та вдома

Створити тест