Нерівності. Ч1.

Додано: 25 грудня 2025
Предмет: Алгебра, 11 клас
Копія з тесту: Нерівності. Ч1.
18 запитань
Запитання 1

1.

варіанти відповідей

(-∞;270)

(270;+∞)

(-∞;2,7)

(-∞;27)

(10,8;+∞)

Запитання 2

2.

варіанти відповідей

[0;3]

(-∞;3]

(-∞;-3]

(3;+∞]

(-3;+∞]

Запитання 3

3. Розв'яжіть нерівність |x-9| ≤ 3. У відповіді запишіть суму всіх її цілих розв'язків на проміжку [-15;15].

варіанти відповідей

36

63

-36

-63

66

Запитання 4

4. Укажіть число, що є розв'язком нерівності x2 < 9.

варіанти відповідей

-8

- 4,5

-2

3

8

Запитання 5

5. Яке з наведених чисел є розв'язком нерівності 


|x| > 3 ?


варіанти відповідей

3

1

0

-3

- 8

Запитання 6

6.

варіанти відповідей

(-4;+∞)

(-∞; -4)

(-0,25; +∞)

(-∞; -0,25)

(4; +∞)

Запитання 7

8.

варіанти відповідей

-10

-8

3

8

10

Запитання 8

9.

варіанти відповідей

А

Б

В

Г

Д

Запитання 9

10.

варіанти відповідей

А

Б

В

Г

Д

Запитання 10

11. Розв’яжіть нерівність

варіанти відповідей

(-∞; 0)⋃[3; +∞)

(0;3]

[3; +∞)

(-∞;0)

(-∞;3]

Запитання 11

12. Знайдіть область визначення функції.  У відповіді запишіть найбільше ціле двоцифрове число, що належить області визначення цієї функції.

варіанти відповідей

-5

5

-16

16

10

Запитання 12

13. Розв'яжіть нерівність

варіанти відповідей

(-∞; 2)

(-∞;-1)⋃(-1;2)

(-1;2)

(-∞;-1)⋃(2;+∞)

(-∞;-1)

Запитання 13

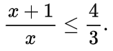
14. Розв'яжіть нерівність 


варіанти відповідей

(5;+∞)

(-∞;5)⋃(5;+∞)

(5;8)

(-∞;5)⋃(8;+∞)

(-∞;5)

Запитання 14

15.

варіанти відповідей

А

Б

В

Г

Д

Запитання 15

16.

варіанти відповідей

А

Б

В

Г

Д

Запитання 16

17.

варіанти відповідей

А

Б

В

Г

Д

Запитання 17

18.

варіанти відповідей

А

Б

В

Г

Д

Запитання 18

19.

варіанти відповідей

А

Б

В

Г

Д

Створюйте онлайн-тести
для контролю знань і залучення учнів
до активної роботи у класі та вдома

Створити тест