Оптика

Додано: 25 лютого
Предмет: Фізика, 11 клас
10 запитань
Запитання 1

На якому рисунку розміщення фокусів збиральної лінзи показано правильно?

варіанти відповідей
Запитання 2

Визначте оптичну силу збиральної лінзи, фокусна відстань якої дорівнює 25 см.

варіанти відповідей

4 дптр

0,004 дптр

0,025 дптр

25 дптр

Запитання 3

Які з показаних на рисунку лінз є розсіювальними?

варіанти відповідей

1,2

2,3

3,4

4,1

Запитання 4

Яка лінза зображена на рисунку?

варіанти відповідей

Двоввігнута


Увігнуто-опукла

Плоско-ввігнута

Двоопукла

Запитання 5

У якої із нарисованих тут лінз фокусна відстань найменша? 

варіанти відповідей
Запитання 6

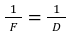
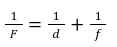
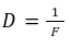
Яка залежність визначає оптичну силу лінзи?

варіанти відповідей
Запитання 7

Уявний фокус розсіювальної лінзи - це...

варіанти відповідей

Точка лінзи, розташована на головній оптичній осі, через яку промінь світла проходить, не змінюючи свого напрямку

Точка на головній осі, у якій збираються продовження розбіжних променів, що вийшли з лінзи


Відстань від оптичного центра до фокуса

Лінза, після заломлення у якій паралельні промені виходять розбіжним пучком

Запитання 8

Головна оптична вісь лінзи - це...

варіанти відповідей

Пряма, яка проходить через центри сферичних поверхонь, що обмежують лінзу

 Величина, обернена до фокусної відстані

Пряма, яка проходить через краї сферичних поверхонь, що обмежують лінзу

Точка, у якій після заломлення збираються паралельні головній оптичній осі промені

Запитання 9

Дійсний фокус збиральної лінзи - це ...

варіанти відповідей

Точка, яка проходить через центри сферичних поверхонь, що обмежують лінзу

Дійсний фокус збиральної лінзи — це точка, в якій після проходження через лінзу реально перетинаються промені, що падають на неї паралельно головній оптичній осі.

Лінза, після заломлення у якій паралельні промені виходять розбіжним пучком

Пряма, яка проходить через центри сферичних поверхонь, що обмежують лінзу

Запитання 10

Оптична сила - це....

варіанти відповідей

Лінза, після заломлення у якій паралельні промені перетинаються в одній точці

Точка, у якій після заломлення збираються паралельні головній оптичній осі промені

 Величина, обернена до фокусної відстані

 Величина, після заломлення у якій паралельні промені виходять розбіжним пучком

Створюйте онлайн-тести
для контролю знань і залучення учнів
до активної роботи у класі та вдома

Створити тест