Ознаки зростання та спадання функції. Точки екстремуму функції

Додано: 20 квітня
Предмет: Алгебра, 10 клас
10 запитань
Запитання 1

Установіть значенням похідної у точці хо=0 для функції y=1(3x-1)²

варіанти відповідей

6

3

0,5

0

2

Запитання 2

Установіть значенням похідної у точці хо=0 для функції y=(x-1)³

варіанти відповідей

6

3

0,5

0

2

Запитання 3

Установіть значенням похідної у точці хо=0 для функції y=cos²(x-Π/12)

варіанти відповідей

6

3

0,5

0

2

Запитання 4

Установіть значенням похідної у точці хо=0 для функції y=(x²+1)0.5

варіанти відповідей

6

3

0,5

0

2

Запитання 5

На рисунку зображено графік функції, визначеної на проміжку [-7;7]. Укажіть кількість критичних точок.

варіанти відповідей

1

2

3

4

Запитання 6

На рисунку зображено графік функції y=f(x), визначеної на проміжку [-7;7]. Укажіть точки мінімуму функції.

варіанти відповідей

-5

-3

2

6

Запитання 7

На рисунку зображено графік функції y=f(x), визначеної на проміжку [-7;7]. Укажіть точки максимум функції.

варіанти відповідей

-5

-3

2

6

-

Запитання 8

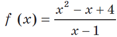
Знайдіть критичні точки функції 

Якщо функція має більше ніж одну критичну точку, то у відповідь запишіть їх добуток.

варіанти відповідей

-2

2

-1

0

Запитання 9

Знайти проміжки зростання функції ƒ(x) =-¾x4 + 4x3 - 6x2 + 5

варіанти відповідей

(-∞;0] і [2;∞)

(-∞;0]

[0;2] і [2;∞)

[2;∞)

Запитання 10

Знайдіть точки екстремуму функції

варіанти відповідей

−1; 3

1; 3

-1; 1

0; 2

Створюйте онлайн-тести
для контролю знань і залучення учнів
до активної роботи у класі та вдома

Створити тест