9 фіз 29 Переміщення під час рівноприскореного прямолінійного руху. Рівняння координати

10 запитань
Запитання 1

Які з перелічених фізичних величин вимірюють в метрах (м)?

варіанти відповідей

шлях

швидкість

переміщення

прискорення

Запитання 2

Оберіть рівняння проекції переміщення для рівноприскореного прямолінійного руху.

варіанти відповідей

а)

б)

в)

г)

Запитання 3

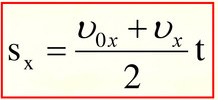
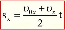
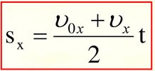
За допомогою якої формули можна знайти переміщення тіла коли відомо початкова та кінцева швидкості руху тіла і час його руху?

варіанти відповідей
Запитання 4

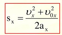
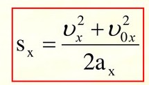
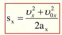
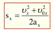
За допомогою якої формули можна знайти переміщення тіла коли відомо початкова та кінцева швидкості руху тіла та прискоорення його руху?

варіанти відповідей
Запитання 5

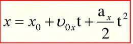
За допомогою якої формули можна знайти переміщення тіла коли відомо початкова швідкість, прискорення та час його руху?

варіанти відповідей
Запитання 6

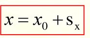
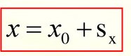
За якою формулою обчислюють координату тіла під час рівномірного прямолінійного руху?

варіанти відповідей
Запитання 7

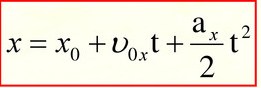
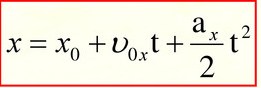
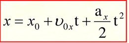
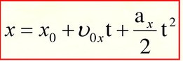
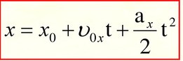
За якою формулою обчислюють координату тіла для рівноприскореного прямолінійного руху?

варіанти відповідей
Запитання 8

Графік проекції переміщення в разі рівноприскореного прямолінійного руху це ...

варіанти відповідей

гіпербола

парабола

пряма

синусоїда

Запитання 9

Рівняння координати має вигляд: х = 5 - 3t + 2t2.

Чому дорівнює початкова координата х0?

варіанти відповідей

2 м

4 м

-3 м

5 м

Запитання 10

 Проєкція переміщення чисельно дорівнює площі фігури, обмеженої графіком vх (t) , віссю часу та прямими t = t1 і t= t2.  

варіанти відповідей

 Геометричний зміст переміщення

 Фізичний зміст переміщення

хибне твердження

Створюйте онлайн-тести
для контролю знань і залучення учнів
до активної роботи у класі та вдома

Створити тест