Перестановки, розміщення, комбінації, ймовірність

Додано: 22 лютого 2023
Предмет: Алгебра, 11 клас
Тест виконано: 121 раз
13 запитань
Запитання 1

У ящику 2 білі, 10 червоних та 8 синіх кульок. Яка ймовірність того, що навмання вийнята кулька буде червоною?

варіанти відповідей

0,5

0,4

0,1

0,6

Запитання 2

Скількома способами можна розставити сім книжок на полиці?

варіанти відповідей

5040

244

700

154

Запитання 3

Формула "перестановки":

варіанти відповідей
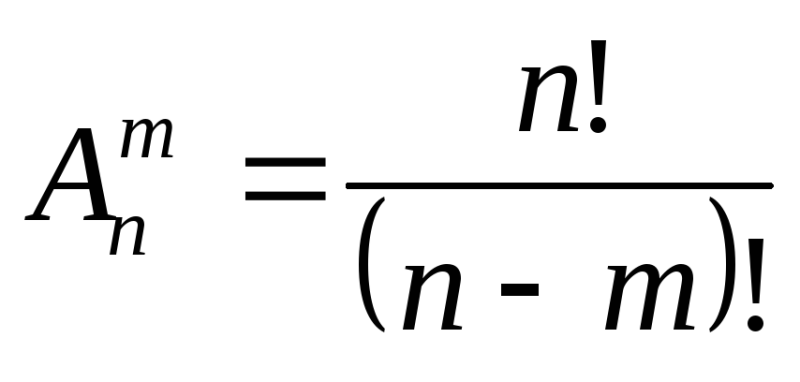
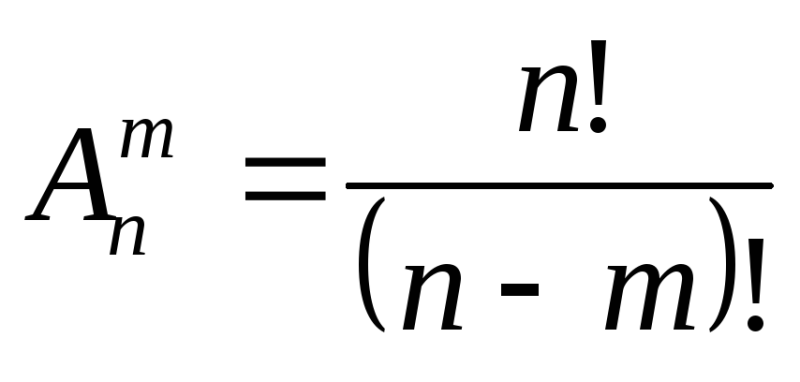
Запитання 4

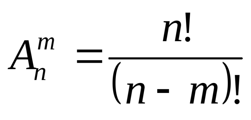
Формула "розміщення"

варіанти відповідей
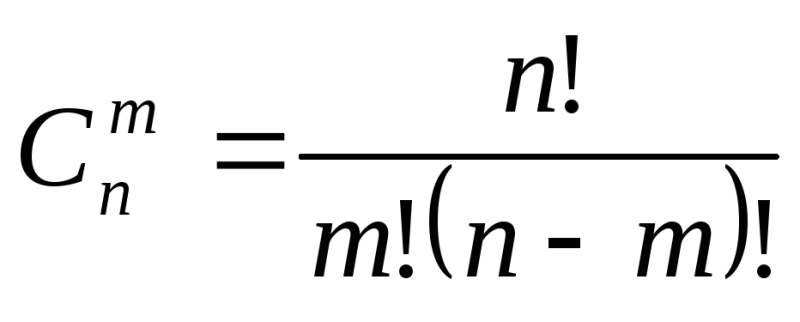
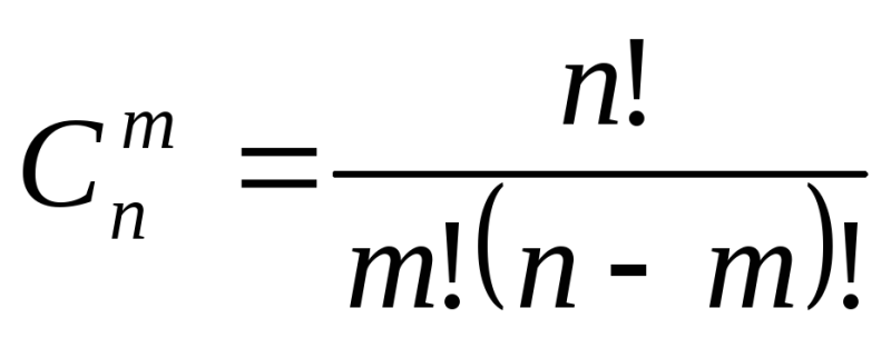
Запитання 5

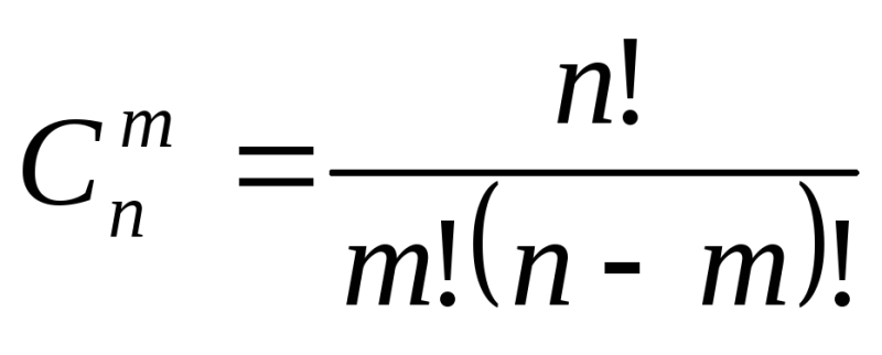
Формула "комбінацій":

варіанти відповідей
Запитання 6

Обчисліть 5! - 4! =

варіанти відповідей

96

12

11

1

Запитання 7

Оберіть подію імовірність якої 50%

варіанти відповідей

Після весни прийде зима

При відкриванні навманя книги випаде сторінка 15

Випадання на гральному кубику числа 3

Випадання на гральному кубику при підкиданні парного числа

Запитання 8

Яка із подій є неможливою :

варіанти відповідей

Сьогодні буде вітер

Після березня буде квітень

Купити виграшний лотерейний квиток

Витягти червону кульку із кошика з яблуками

Запитання 9

Імовірність якої з наведених подій дорівнює 0?

варіанти відповідей

У результаті підкидання грального кубика випало число 6 

Одне з двох чисел більше від другого (числа різні)

Існує квадрат, усі кути якого гострі 

Зі скриньки, де лежать білі та чорні кульки, витягнули білу кульку

Запитання 10

Вибрати випадкові події

варіанти відповідей

після зими наступає літо

я виграю в лотерею

наступним днем після понеділка буде вівторок

з ящика, у якому є тільки білі кульки, витягують чорну кульку

при підкиданні монети випаде "герб"

завтра буде хороша погода

на прогулянці я зустріну живого динозавра

Запитання 11

Вибрати неможливі події

варіанти відповідей

після зими наступає літо

я виграю в лотерею

наступним днем після понеділка буде вівторок

з ящика, у якому є тільки білі кульки, витягують чорну кульку

при підкиданні монети випаде "герб"

завтра буде хороша погода

на прогулянці я зустріну живого динозавра

Запитання 12

А33

варіанти відповідей

6

9

12

18

Запитання 13

Р2

варіанти відповідей

2

4

6

1

Створюйте онлайн-тести
для контролю знань і залучення учнів
до активної роботи у класі та вдома

Створити тест