Первісна. Невизначений інтеграл

Додано: 19 січня 2025
Предмет: Алгебра, 11 клас
7 запитань
Запитання 1

Шо називають первісною функції?

варіанти відповідей

точку

значення функції

деяку функцію

функцію, що відповдає деяким умовами

Запитання 2

Похідна функції задовільнє умову: F′(x)=f(x). Вкажіть правильні твердження

варіанти відповідей

F(x) первісна f(x)

f(x) первісна F(x)

3f(x) первісна F(x)

F(x) + 7 первісна f(x)

3F(x) первісна 3f(x)

Запитання 3

Первісною f(x) = 6 є

варіанти відповідей

6

6x

6x+5

6x2

x6

Запитання 4

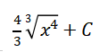
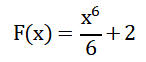
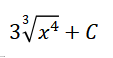
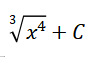
Вкажіть, яка з наведених функцій є первісною f(x)=x5

варіанти відповідей
Запитання 5

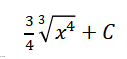
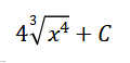
Укажіть первісну для функції:

варіанти відповідей
Запитання 6

Для якої з наведених функцій функція F(x) = 2x+x3 є первісною?

варіанти відповідей

f(x) = 2 + x3

f(x) = x3 + x4

f(x) = 2 + 3x2

f(x) = 2x + 3x2

Запитання 7

Задано функцію y=3x. Які з наведених тверджень є правильними?

І. Будь-яка первісна даної функції є непарною функцією.

ІІ. Графік будь-якої первісної проходить через точку О(0; 0).

ІІІ.Графік будь-якої первісної перетинає вісь Оx.

варіанти відповідей

лише І

лише ІІ

лише ІІІ

жодне з наведених тверджень.

Створюйте онлайн-тести
для контролю знань і залучення учнів
до активної роботи у класі та вдома

Створити тест