Первісна. Правила знаходження первісних

Додано: 18 грудня 2025
Предмет: Алгебра, 11 клас
15 запитань
Запитання 1

Первісною для функції f(х) = х2 є ...

варіанти відповідей

х3/3

х4

х3/3 + С

Запитання 2

Первісною для функції f(х)=соsx є

варіанти відповідей

sinx + 2

-cosx + C

sinx

1

Запитання 3

Визнач, чи є функція F(x) первісною для функції f(x):

F(x)=x12; f(x)=12x13


варіанти відповідей

так

ні

Запитання 4

Знайдіть первісну для функції f(x) = 3х2 + sin x

варіанти відповідей

x3 + cosx

x3 - cosx +C

6x - cosx + C

6х+С

Запитання 5

Знайдіть первісну для функції f(x) = 2х3 - 5х4

варіанти відповідей

x4/2 - x5 +C

x2 - 5x3 +C

x2 + x5 + C

Запитання 6

Знайти для функції f(х) первісну, графік якої проходить через дану точку

f(х) = х3 + 2, М(0;0)

варіанти відповідей

1/4 х4 + 2х + С


х+ 2х - 1

х+ 2х + 1


1/4 х4 + 2х

Запитання 7

Знайдіть первісну для функції f (x) = -2sin+ 5ex - 8


варіанти відповідей

 2cos+ 5ex - 8х + С

 2cos+ 5ex+ С

 2cos+ 5ex - 8+ С

 -2cos+ 5ex - 8x + С

Запитання 8

Графік якої  з  первісних функції f (x) =4 x  проходить через точку А (1; 2) ?


варіанти відповідей

F (x) = x- 2

 F (x) = x- 3

F (x) = x+1

F (x) = x+3

F (x) = x+ 2

Запитання 9

Якщо F(x)=2+cosx - первісна функції f(x), то f(x)=

варіанти відповідей

-sinx

sinx

2x-sinx

2x+sinx

2-sinx

Запитання 10

Первісною для у = 8 є:

варіанти відповідей

8x

8+c

8x+c

0

Запитання 11

Первісною для у = 1/x є:

варіанти відповідей

-1/x2+c

lnx

ln|x|+c

1+c

Запитання 12

Первісною для у =1/cos2x є:

варіанти відповідей

-ctgx+c

-tgx+c

-1/sin2x+c

tgx+c

Запитання 13

Знайти для функції f(x)=5x4+3x2-7

 первісну, графік якої проходить через т. А (1;-4).


варіанти відповідей

F(x)=20x3+6x-12

F(x)=x5+x3-7x+1

F(x)=x5+x3-7x+c

F(x)=20x3+6x-7+c

Запитання 14

Знайдіть загальний вираз первісної функції f(x) = x - 4.

варіанти відповідей

x2-4x+C

½ x2-4x+C

4x3-4+C

4x2+C

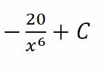
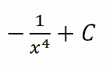
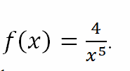
Запитання 15

Укажіть загальний вид первісних для функції


варіанти відповідей

Створюйте онлайн-тести
для контролю знань і залучення учнів
до активної роботи у класі та вдома

Створити тест