Первісна. Визначений інтеграл

Додано: 4 лютого
Предмет: Алгебра, 11 клас
10 запитань
Запитання 1

Обчислити і вибрати правильну відповідь

варіанти відповідей

3

1

5

4

інша відповідь

Запитання 2

Обчислити і вибрати правильну відповідь

варіанти відповідей

1

2

0

4

 інша відповідь

Запитання 3

Обчислити інтеграл і вибрати правильну відповідь

варіанти відповідей

0

1

√2⁄2

√2

2

 інша відповідь

Запитання 4

Знайти загальний вигляд первісної для функції: f(x) = 3х2 - 4х3 + 3х + 1.

варіанти відповідей

F(x)=х3 - х4 +3х + С

F(x)=3х- 4х4 + 3х+ С

F(x)=6х - 12х2 + 3 + С

F(x)= х3 - х4 + 1,5х2 + х + С

 інша відповідь

Запитання 5

Обчисліть інтеграл

варіанти відповідей

-3,5

4,5

-7,5

0,5

інша відповідь

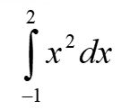
Запитання 6

Обчисліть інтеграл

варіанти відповідей

3

4

5

-3

інша відповідь

Запитання 7

Обчисліть інтеграл

варіанти відповідей

-3,5

5,5

-7,5

-0,5

інша відповідь

Запитання 8

Обчисліть інтеграл

варіанти відповідей

π2-1

π+1

1

-1

інша відповідь

Запитання 9

Знайти F(2), якщо F(х) є первісною для функції f(x) = 3х2 - 4х+ 1, графік якої проходить через точку В(1;3).

варіанти відповідей

7

6

5

4

 інша відповідь

Запитання 10

Установіть відповідність між інтегралами (1-4) та інтегралами (А-Д), значення яких дорівнюють значенням інтегралів (1-4).

варіанти відповідей

інша відповідь

Створюйте онлайн-тести
для контролю знань і залучення учнів
до активної роботи у класі та вдома

Створити тест