Підготовка до НМТ "Цілі та дробові раціональні вирази"

Додано: 29 березня
Предмет: Алгебра, 11 клас
12 запитань
Запитання 1

Серед наведених дробів укажіть найбільший

варіанти відповідей
Запитання 2

Укажіть числовий вираз, значення якого є найменшим

варіанти відповідей
Запитання 3

Обчисліть: 23∙50


варіанти відповідей

6

8

10

30

40

Запитання 4

Спростіть вираз:

x-10∙x-2

варіанти відповідей

x-12

x20

x100

x-8

x5

Запитання 5

Чому дорівнює значення виразу: (a2∙b3)4

варіанти відповідей

a6b7

(ab)20

a8b12

(ab)9

a16b84

Запитання 6

Розкладіть на множники вираз: a3+a2+a+1


варіанти відповідей

(a2+1)(a+1)

a2(a+1)

(a2+1)a

a(a+1)2

Запитання 7

Розкрийте дужки: (a2-3b)(3b+a2)

варіанти відповідей

9b2- a4

4a4 + 6a2 b - 9b2

a4 - 9b2

a4 - 6a2b + 9b2

Запитання 8

Укажіть вираз, що є квадратом двочлена

варіанти відповідей

4x2 - 2x + 1

4x2- 1

4x2 - 4x + 1

4x2 + 1

Запитання 9

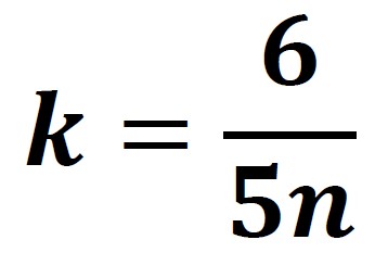
Знайдіть k

варіанти відповідей
Запитання 10

Обчисліть

варіанти відповідей
Запитання 11

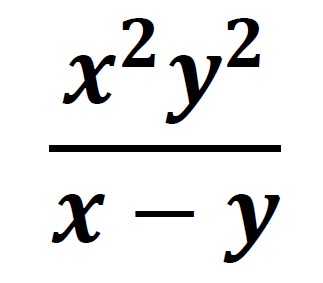
Скоротіть дріб

варіанти відповідей
Запитання 12

Спростіть вираз


варіанти відповідей

Створюйте онлайн-тести
для контролю знань і залучення учнів
до активної роботи у класі та вдома

Створити тест