Підготовка до НМТ: Цілі і дробові раціональні вирази. Раціональні рівняння

Додано: 22 березня
Предмет: Алгебра, 11 клас
20 запитань
Запитання 1

Спростити 0,4х2*5х3

варіанти відповідей

20х6

5

6

0.2х5

0.2х6

Запитання 2

6)24

варіанти відповідей

а5

а8

а10

а32

а12

Запитання 3

10аb3⁄ 5a2b

варіанти відповідей

2b2⁄ a

b4⁄ 2a3

50a3b4

2b4⁄ a3

b2⁄ 2a

Запитання 4

x+2(x-2)

варіанти відповідей

3x-4

3x+4

3x

3x-2

3x+2

Запитання 5

(2x-3)2+12x

варіанти відповідей

4x2+12x-9

4x2-9

4x2+9

4x2+12x+9

4x2+6x+9

Запитання 6

Розкладіть на множники (x+y)2-9x2

варіанти відповідей

(-8x+y)(10x+y)

(-2x-y)(4x-y)

(-2x+y)(4x+y)

(4x+y)2

(-2x+y)2

Запитання 7

2a-(3b-2a)

варіанти відповідей

-3b

4a-3b

-6ab-4a

-6ab+4a

-6ab-4a2

Запитання 8

(9-x2) ⁄ (x2+6x+9)

варіанти відповідей

1 ∕ (x+3)

3-x

1 ⁄ 6x

(3-x) ⁄ (x+3)

(x-3) ⁄ (x+3)

Запитання 9

(a2-b2) ⁄ (a2-ab)

варіанти відповідей

b ⁄ a

(a+b) ⁄ b

(a-b) ⁄ a

(a+b) ⁄ a

b

Запитання 10

(a2+16) ⁄ (a-4) - 8a ⁄ (a-4)

варіанти відповідей

-1

a-4

a+4

1

(a-4)2

Запитання 11

Розкладіть на множники вираз (а-1)2 - (b-1)2

варіанти відповідей

(a-b)(a+b)

(a-b)(a+b+2)

(a-b)2

(a-b)(a+b-2)

(a+b)(a-b-2)

Запитання 12

Знайдіть вираз, тотожно рівний виразу x4+x3-x-1

варіанти відповідей

(x+1)2(x2+x+1)

(x2-x+1)(x-1)2

(x-1)3(x+1)

(x-1)(x+1)3

(x2-1)(x2+x+1)

Запитання 13

Якщо числа х і у задовольняють співвідношення 2y + 4 = x, то y =

варіанти відповідей

2x-8

8-2x

(x-4) ∕ 2

(x+4) ⁄ 2

(4-x) ∕ 2

Запитання 14

Якщо x + 2y − 6z =– 1 і − y + 3z = 5, то x =

варіанти відповідей

9

11

4

-9

-11

Запитання 15

Якщо x2-y2=7 і 3x + 3y = 63, то x − y =

варіанти відповідей

14

147

-1 ∕ 3

1 ⁄ 3

-3

Запитання 16

Укажіть вираз, тотожно рівний виразу x2+ 4.

варіанти відповідей

(x-2)(x+2)

x(x-2)

(x+2)2+4x

(x+2)2

(x-2)2+4x

Запитання 17

Якщо 1 ⁄ a = 1 ⁄ b + 1 ⁄ c то с=

варіанти відповідей

ab ⁄ (a-b)

ab ⁄ (b-a)

a-b

1 ∕ a - 1 ⁄ b

(a-b) ⁄ ab

Запитання 18

Обчисліть значення виразу (a2-6ab+9b2) ∕ (a2+4ab) ÷ (5a-15b) ⁄ (a+4b)

при a=0,1; b=3,7

варіанти відповідей

22,4

-22,4

22

-22

Запитання 19

Знайдіть суму коренів рівняння 2х2-7х+9=0

варіанти відповідей

9

4,5

знайти неможливо, оскільки рівняння не має коренів

7

3,5

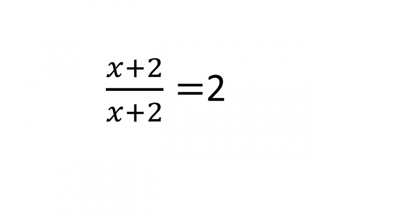
Запитання 20

Розв'яжіть рівняння

варіанти відповідей

рівняння не має коренів

х=-2

х=2

(-∞;-2)υ(-2;+∞)

Створюйте онлайн-тести
для контролю знань і залучення учнів
до активної роботи у класі та вдома

Створити тест