Підсумкова діагностична робота за групами результатів. Алгебра 7 клас

Додано: 3 червня 2025
Предмет: Алгебра, 7 клас
22 запитання
Запитання 1

ГР1. Чи проходить графік рівняння х  у = 4 через точку:

варіанти відповідей

 F(3;-1)

F(-7;-3)

F(-3;1)

 F(7;-3)

F(7;3)

Запитання 2

ГР2. Спростіть вираз: (с + 4)2 + (с – 9)(с + 25)

варіанти відповідей

2с + 24с2 + 209

 2с2 + 24с + 209

+ 24с - 209

 2с2 - 24с - 209

Запитання 3

ГР3. Розкладіть на множники: 5a– 45b2

варіанти відповідей

5(а - 3в)(а + 3в)

5(а - 9в)(а + 9в)

  5(а- 3в)(а+ 3в)

 5(а - 3в2)(а + 3в2)

Запитання 4

ГР1. Які з наведених пар чисел є розв'язком рівняння

2х + 3у = 6?

варіанти відповідей

(2; 1)

(0; -2)

(0, 2)

 (-3; 0)

(3; 0)

(2,25; 0,5)

Запитання 5

ГР3. Розкладіть на множники вираз: - 25

варіанти відповідей

 (2х + 5)(2х + 5)

(2х - 5)(2х + 5)

 (2х - 5)2

 (4х - 5)(4х + 5)

(2х + 5)2

  (5 - 2х)(5 + 2х)

Запитання 6

ГР1. У якій точці графік функції у = 1,2х - 12 перетинає вісь ординат?

варіанти відповідей

(12; 0)

 (-12; 0)

(0; 12)

 (0; -12)

 (0; -2)

 (-1; 0)

Запитання 7

ГР2. Спростіть вираз -4х4у7⋅(-2ху2)3

варіанти відповідей

24х5у15

 8х7у13

32х7у12

32х7у13

Запитання 8

ГР2. Обчисліть 35 ⋅ 98 : 277

варіанти відповідей

0

1

2

3

4

5

Запитання 9

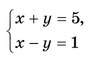
ГР3. Розв`яжіть систему рівнянь:

Обов'язково прикріпити до завдання!

варіанти відповідей

 (-1; -1)

 (1; -1)

 (-1; 1)

 (1; 1)

(0; 1)

 (-1; 0)

Запитання 10

ГР1.  Укажіть НЕ правильну формулу:

варіанти відповідей

 a2+2ab+b2=(a+b)2

a3−b3=(a−b)(a2+ab+b2)

 (a+b)(a−b)=a2−b2

(a−b)2=a2−b2

Запитання 11

ГР3. Учень купив 10 зошитів та записник. За всю покупку він заплатив 126 грн. Скільки коштує один зошит і скільки записник, якщо відомо, що записник дорожчий від зошита у 8 разів?

варіанти відповідей

 4,6 грн; 80 грн

 8 грн; 46 грн

 7 грн; 56 грн

 5,6 грн; 70 грн

 8 грн; 64 грн

4 грн; 32 грн

Запитання 12

ГР2. Розв'яжіть систему рівнянь:

ПРИКРІПИТИ ПОВНЕ РОЗВ'ЯЗАННЯ

варіанти відповідей

 (1,5; 4)

 (1,5; - 4)

 (-1,5; -4)

  (-1,5; 4)

 (-1,5; 2)

 (1,5; -2)

Запитання 13

ГР2. (b - m)⋅(b + m) =


варіанти відповідей

 b2 - 2⋅m⋅b + m2

 m2 - b2

b2 + m2

b2 - m2

Запитання 14

ГР2. Подайте вираз d+ 2⋅d⋅c + c2 у вигляді квадрата двочлена.

варіанти відповідей

 (d - c)2

(c - d)2

(d + c)2

 (2⋅d+c)2

Запитання 15

ГР2. Перетворіть вираз на многочлен: (3x + 2)² =

варіанти відповідей

 3x² + 6x + 4


 6x² + 4

 9x² + 12x + 4

9x² − 12x + 4

Запитання 16

ГР2. Розкладіть многочлен на множники: m² − 18m + 81 =

варіанти відповідей

(m − 3)(m − 15)

  (m − 6)(m − 12)

 (m + 9)(m − 9)

(m − 9)² 

Запитання 17

ГР3. Який із одночленів записаний в стандартному вигляді?


варіанти відповідей

 3a2ab

 

 -3a

 2a4b

  -3,2xx

Запитання 18


ГР3. Яка пара чисел є розв'язком системи. Прикріпити повне розв'язання.

варіанти відповідей

 (3;2)


 (2;3)


  (5;0)


 (0;5)

Запитання 19

ГР2. Графік функції у=-х+5 перетинає вісь Оу у точці з координатами:



варіанти відповідей

 (1; 1)

(0; 0)

(5; 0)

 (0; 5)

Запитання 20

ГР1. При якому значені k графік функції у=kх+7 проходить через точку С(2; -1)

варіанти відповідей

 -3

 -4

3

4

Запитання 21

ГР1. У парку росли дерева. Акацій було удвічі більше ніж лип. Разом дерев було 18. Скільки акацій та лип?

варіанти відповідей

Акацій-12, лип -6.

Акацій-13, лип 5.

Акацій-8. Лип -10

  Акацій -3 , лип -15

Запитання 22

ГР2,ГР3.З пункту А в пункт В вийшов пішохід. Через 2 години назустріч йому з пункту  В виїхав велосипедист. Відстань між пунктами дорівнює 68 км. Відомо, що швидкість велосипедиста на 12 км/год більша за швидкість пішохода. Знайдіть швидкість велосипедиста і швидкість пішохода, якщо до зустрічі пішохід був у дорозі 5 год.

ПРИКРІПИТИ ПОВНЕ РОЗВ'ЯЗАННЯ

варіанти відповідей

 16 км/год та 4 км/год

 4 км/год та 8 км/год

 12 км/год та 16 км/год

17 км/год та 3 км/год

Створюйте онлайн-тести
для контролю знань і залучення учнів
до активної роботи у класі та вдома

Створити тест