Підсумкова контрольна робота з алгебри 7 клас ГР1, ГР2,ГР3

Додано: 22 травня 2025
Предмет: Алгебра, 7 клас
11 запитань
Запитання 1

Укажіть рівняння, коренем якого є число 12.

варіанти відповідей

х + 3 = 14

х - 7 = 8

2х = 20

х : 3 = 4

інша відповідь

Запитання 2

4а5) : а2 = ...

У відповідь запиши показник

варіанти відповідей

7

а7

а6

6

а22

18

Запитання 3

Укажіть точки, що НЕ належать графіку рівняння х + у = 7.

варіанти відповідей

(4; 3)

(3; 4)

(7; 1)

(7; 0)

(7; 7)

(- 3; - 4)

Запитання 4

Спростіть вираз:

(х - 2)(х + 2) - х(х - 3) =

варіанти відповідей

3х - 4

3х + 4

2 - 4

2 + 4

4х - 3

2 - 4

Запитання 5

Розкладіть на множники:

2 - 28х2 =

варіанти відповідей

7(р - 2х)(р + 2х)

рх(7 - 28)

7(р - 2х)(р - 2х)

7(р2 - х2)

Запитання 6

Розв'яжіть рівняння:

7(х - 2) - 3(х + 6) = 3 - х


варіанти відповідей

х = 7

х = -7

х = 6

х = -8

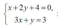
Запитання 7

Розв'яжіть систему рівнянь:



варіанти відповідей

х = -1; у = 2.

х = 1; у = -2.

х = -1; у = -2.

х = 1; у = 2.

Запитання 8

Яка з наведених пар чисел не є розв'язком рівняння 2x + y = 6

варіанти відповідей

(4; -2)

(-4; 14)

(-3; 0)

(1; 4)

Запитання 9

Розкладіть на множники вираз 3х + 3ху – 5 – 5у.

 

варіанти відповідей

2x(1 + y).

(y + 1)(3x + 5).

(3x – 5)(y + 1).

(y – 1)(3x + 5).

Запитання 10

Знайдіть значення функції y= – 2x – 3, якщо значення аргументу дорівнює 4.

варіанти відповідей

3

5

-9

-11

Запитання 11

Розв'язати систему рівнянь


варіанти відповідей

(3;-2)

(-3; 2)

(-3;-2)

(1; -2)

Створюйте онлайн-тести
для контролю знань і залучення учнів
до активної роботи у класі та вдома

Створити тест