Підсумкова контрольна робота за 2 семестр з предмету "Алгебра" 7 клас

Додано: 10 вересня 2025
Предмет: Алгебра, 7 клас
16 запитань
Запитання 1

Обчисліть значення виразу

варіанти відповідей

1

8

16

64

Запитання 2

Через яку з даних точок проходить графік рівняння 5х-2у=7 ?

варіанти відповідей

(-2;-5)

(2;1)

(-1;1)

(1;-1)

Запитання 3

Який з виразів тотожно дорівнює виразу 0,3ab(2a-3b)

варіанти відповідей

0,6a2b-0,9ab2

0,6a2b-0,9ab

0,6a2b+0,9ab2

0,3a2b-0,9ab2

Запитання 4

Розв′яжіть рівняння (х-11)(х+5) - (х2-100)=9

варіанти відповідей

6

-6

10

-10

Запитання 5

Власник компанії розподілив премію в сумі 40 000 грн. між трьома працівниками у відношенні 2:3:3. Скільки премії отримав кожен працівник?

варіанти відповідей

200грн., 300грн.,300грн.

2000грн.,3000грн.,3000 грн.

10000грн.,15000грн.,15000грн.

15000грн.,15000грн.,10000грн.

Запитання 6

На якому з рисунків зображено графік функції y = x - 4?

варіанти відповідей
Запитання 7

Виберіть многочлен, який НЕ можна розкласти на множники.

варіанти відповідей

x2 + 1

x2 - 1

x2 + 2x + 1

x3 - 1

x2-2x+1

Запитання 8

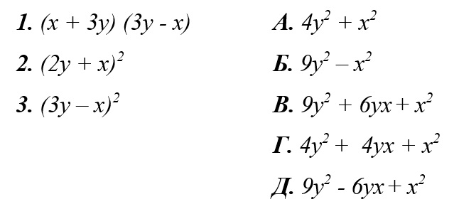
Установіть відповідність між виразами (1-4) і тотожно рівними їм виразами (А-Д).

варіанти відповідей

1. Б

2. А

3. Д

1. Б

2. А

3. В

1. Б

2. Г

3. Д

1. В

2. Г

3. Б

1. Д

2. А

3. Б

Запитання 9

Знайдіть область визначення функції

варіанти відповідей

- 4

усі, крім -4

усі, крім 0

усі, крім 4

0

будь-які значення

Запитання 10

Подайте одночлен -3x2y3(-2x4y3) стандартному вигляді.

варіанти відповідей

6x6y9

6x8y9

6x6y6

-8x8y6

Запитання 11

Запишіть у вигляді виразу твердження "частка суми чисел х і 5 та числа 8"

варіанти відповідей

х : 5 + 8

(х + 5) * 8

х : (5 + 8)

(х + 5) : 8

Запитання 12

Зведіть подібні члени многочлена х2 - 3х + 2х - 3 - 3х2 + 4.

варіанти відповідей

-2х2 - 5х + 1

-4х2 - х - 1

-2х2 - х + 1

2 + х + 1

Запитання 13

Розкладіть на множники многочлен 3a + 3b +xa + xb, способом групування

варіанти відповідей

(3 + a)(x + b)

(a - b)(x + 3)

(3 + x)(a - b)

(a + b)(x + 3)

Запитання 14

Знайдіть добуток многочленів: (2х - 5y)(2х + 5y).

варіанти відповідей

25y2 - 20xy +4x2

4x2 - 25y2

4x2 + 25y2

25y2 - 4x2

Запитання 15

Укажіть значення функціїї y = 2x - 3, якщо значення аргумента дорівнює -3.

варіанти відповідей

-3

9

-9

3

Запитання 16

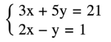
Укажіть пару чисел (x;y), що є розв`язком системи рівнянь

варіанти відповідей

(3;2)

(1;2)

(2;3)

(4;1)

(1;5)

Створюйте онлайн-тести
для контролю знань і залучення учнів
до активної роботи у класі та вдома

Створити тест