Підсумкова контрольна робота за І семестр (1 курс)

Додано: 31 січня 2024
Предмет: Математика, 10 клас
37 запитань
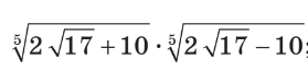
Запитання 1

Обчисліть

варіанти відповідей

18

3

6

1/3

Запитання 2

Розв'яжіть рівняння ( х-2)0,5=6

варіанти відповідей

8

38

36

6

Запитання 3

Наякому малюнку зображено графік непарної функції

варіанти відповідей
Запитання 4

Вкажіть на рисунку графік парних функцій

варіанти відповідей
Запитання 5

Внести множник під знак кореня

варіанти відповідей
Запитання 6

Установіть відповідність між функцією та її областю визначення

варіанти відповідей

1-Г, 2-Б, 3-В

1-А, 2-Б, 3-В

1-А, 2-В, 3-Б

1-Г, 2-А, 3-В

1-Г, 2-Б, 3-А

Запитання 7

Знайти корені рівняння cos x/2 =1

варіанти відповідей

4πk, k∊Z

2πk, k∊Z

πk, k∊Z

π + 2πk, k∊Z

Запитання 8

Розв'язати рівняння cos x + √2/2 = 0

варіанти відповідей

±π/4 + 2πk, k∊Z

±3π/4 + 2πk, k∊Z

±π/4 + πk, k∊Z

±3π/4 + πk, k∊Z

Запитання 9

Розв'яжіть рівняння

cos x= - 1

варіанти відповідей

π+2πk,де k∊Z

 π/2+2πk,де k∊Z

π/2+πk,де k∊Z

2πk,де k∊Z

Запитання 10

Оберіть правильну відповідь.

варіанти відповідей

А

Б

В

Г

Д

Запитання 11

Розв'яжіть рівняння і оберіть правильну відповідь

варіанти відповідей

А

Б

В

Г

Запитання 12

Кінець A відрізка AB належить площині α. Через точку В і точку С цього відрізка проведено паралельні прямі, які перетинають площину α в точках  B1 і С1 відповідно. Знайдіть відрізок  AB, якщо СС1=6см, BB1= 9см, СВ=7см. 


варіанти відповідей

21

14

15

7

Запитання 13

На рисунку точки М, Н, К і Р — середини відрізків АD, DС, ВС і АВ відповідно. Знайдіть периметр чотирикутника МНКР, якщо АС = 8 см, BD = 10 см.

варіанти відповідей

9см

18см

36см

інша відповідь

Запитання 14

Через кінці відрізка MN, який не перетинає площину α, та його середину К проведено паралельні прямі, які перетинають площину α в точках М1, N1, K1 відповідно. Знайдіть довжину відрізка MM1, якщо КК1 = 9 см, NN1 = 15см.

варіанти відповідей

18 см

15 см

3 см

23 см

Запитання 15

Дано ΔАВС, в якому АС=12 см. Відомо, що площина, паралельна прямій АС, перетинає сторону АВ в точці М, а сторону ВС - в точці К так, що КС=6 см, а КМ=4 см. Визначте довжину відрізка ВС.

варіанти відповідей

4 см

6 см

9 см

12 см

15 см

Запитання 16

Дано дві паралельні площини α і β. Точки А і В належать площині α, а точки С і D - площині β. Відрізки АD і BC перетинаються в точці M, AB=10 см, BM =6 см, CВ=18 см. Знайти довжину відрізка CD

варіанти відповідей

10 см

40 см

20 см

30 см

Запитання 17

Дано правильну трикутну піраміду SABC, усі ребра якої дорівнюють 6 см, точка K — середина сторони BC, SO⊥(ABC), SO = 2√6 cм. Знайти відстань від точки S до площини (ABC). 

варіанти відповідей

1

2

√2

√6

2√6

Запитання 18

Укажіть градусну міру кута між площиною AD1C1 та площиною АВС куба ABCDA1B1C1D1.

варіанти відповідей

90⁰

45⁰

60⁰

30⁰

0⁰

Запитання 19

На рисунку зображено правильну чотирикутну піраміду SABCD, де точка O - центр квадрата ABCD, точки K і M - середини ребер AB і AD відповідно. Укажіть кут між площиною ABC і площиною SAD.

варіанти відповідей

∠SBO

∠SAO

∠SMO 

∠SKO

∠SDO

Запитання 20

Обрати всі правильні твердження. Якщо дві площини перпендикулярні, то...

варіанти відповідей

кут між ними дорівнює 90⁰

лінія їх перетину перпендикулярна до обох площин

будь-яка пряма, що лежить в одній з них і перпендикулярна до лінії їх перетину, перпендикулярна до другої площини.

будь-яка пряма однієї площини перпендикулярна до іншої площини

Запитання 21

Кут β між прямою і площиною може бути …

варіанти відповідей

Кут β – будь-який  

Кут β – гострий 

0º ≤ β ≤ 90º

Запитання 22

Лінійний кут двогранного кута дорівнює третині розгорнутого кута. Чому дорівнює двогранний кут?

варіанти відповідей

30⁰

60⁰

90⁰

120⁰

Запитання 23

Розв′яжіть рівняння , використовуючи метод заміни

варіанти відповідей

х=5

х= 5; х= -1, 5

х= 25; х= 2,25

х= 25

Запитання 24

Розв′яжіть рівняння

варіанти відповідей

х= 1,2

х = 2

х= - 1,2

Коренів немає

Запитання 25

Спростити вираз

варіанти відповідей

- 2

- 32

2

32

Запитання 26

Чому дорівнює значення виразу arcsin √3/2 +arccos0

варіанти відповідей

π/3

π/6

5π/6

2π/3

Запитання 27

Розв'язати рівняння:

tg (x + π/4) = √3

варіанти відповідей

-π/12 + πk, k∊Z

π/12 + πk, k∊Z

5π/12 + πk, k∊Z

7π/12 + πk, k∊Z

Запитання 28

Розв'язати рівняння cos x + √2/2 = 0

варіанти відповідей

±π/4 + 2πk, k∊Z

±3π/4 + 2πk, k∊Z

±π/4 + πk, k∊Z

±3π/4 + πk, k∊Z

Запитання 29

Розв'яжіть рівняння tg(3x) = √3

варіанти відповідей

π/6+πn,n∈Z

π/3+πn,n∈Z

π/9+πn/3,n∈Z

π/9+πn,n∈Z

Запитання 30

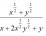
Скоротити дріб 

варіанти відповідей

1/(х0,50,5)

х0,50,5

Запитання 31

Укажіть графік функції

у=х-2

варіанти відповідей
Запитання 32

укажіть графік функції

у=х1/3

варіанти відповідей
Запитання 33

Яке з наведених чисел є раціональним?

варіанти відповідей

√16/19

√0,36

√π2

√(3+2√2)

√2+√3

Запитання 34

Зведіть до тригонометричної функції кута α


варіанти відповідей

cos α

- sin α

- cos α

sin α

Запитання 35

Укажіть найменший додатний період функції

варіанти відповідей

π/2

2π/3

π/3

π

Запитання 36

Знайдіть значення виразу

варіанти відповідей

1

sin2 α

0

sin3 α

Запитання 37

Користуючись графіком функції y=tg x укажіть усі значення х, при яких зазначена функція не визначена

варіанти відповідей

Створюйте онлайн-тести
для контролю знань і залучення учнів
до активної роботи у класі та вдома

Створити тест