Прискорення, переміщення прирівноприскореному русі

Додано: 2 березня
Предмет: Фізика, 9 клас
15 запитань
Запитання 1

З яким прискоренням рухається тіло, якщо протягом 2 с швидкість його руху збільшується від 3 до 6 м/с?

варіанти відповідей

1,5 м/с2;

 3 м/с2;

 4,5 м/с2;

6 м/с2.

Запитання 2

Зміна з часом положення тіла в просторі відносно інших тіл це...

варіанти відповідей

переміщення

 швидкість

 механічний рух

 прямолінійний рух

Запитання 3

Напрямлений відрізок, що сполучає початкове і кінцеве положення тіла – це …

варіанти відповідей

переміщення

шлях

 відрізок

 траєкторія

Запитання 4

Якщо прискорення напрямлене протилежно до початкової швидкості тіла, то тіло …

варіанти відповідей

нерухоме

 гальмує

розганяється

 рухається рівномірно

Запитання 5

Тіло рухається зі стану спокою. Це значить, що…

варіанти відповідей

Тіло рухається швидко

Початкова швидкість = 0

Прискорення = 0

 Тіло рухається повільно

Запитання 6

Швидкість руху тіла в даний момент часу, швидкість руху в даній точці траєкторії називають...

варіанти відповідей

середньою швидкістю

переміщенням

прискоренням

 миттєвою швидкістю

Запитання 7

Рух ,під час якого швидкість руху тіла за будь-які рівні інтервали часу змінюється однаково ,це ....


варіанти відповідей

прямолінійний рух

рівномірний рух

 рівносповільнений рух

 рівноприскорений прямолінійний рух

Запитання 8

За якою формулою обчислити швидкість прямолінійного рівноприскореного руху?

варіанти відповідей

V=V1-V0

 V=S/t

V=V0+at

 V=St

Запитання 9

Яка початкова швидкість тіла, якщо його швидкість змінюється за законом V=-2+t?

варіанти відповідей

2 м/с

 -1 м/с

 1 м/с

-2 м/с

Запитання 10

Через 25 с після початку руху спідометр автомобіля показав швидкість 36 км/год. З яким прискоренням рухався автомобіль?

варіанти відповідей

1,44 м/с2

0,4 м/с2

 0,7 км/хв2

 18 км/год2

Запитання 11

Як позначаєтся та в яких одиницях вимірюється прискорення?

варіанти відповідей

 F, H

S, м

 V, м/с

 а, м/с2

Запитання 12

З яким прискоренням(за модулем) рухався автомобіль під час аварійного гальмування, якщо водієві вдалося зупинити автомобіль, що рухався зі швидкістю 54 км/год, за 5 с? Якою була швидкість руху автомобіля через 2 с після початку гальмування? 

варіанти відповідей

 3 м/с2 ; 9 м/с.

10,8 м/с2 ; 23,4 м/с.

10,8 м/с2 ; 75,6 м/с.

3 м/с2 ; 21 м/с.

Запитання 13

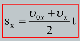
Формула проекції переміщення має вигляд:

варіанти відповідей
Запитання 14

Тіло рухалося зі стану спокою з постійним прискоренням 1,5 м/с2. Визначте швидкість тіла через 4 с.

варіанти відповідей

 6 м/с

2,7 м/с

1,5 м/с

0,75 м/с

Запитання 15

За якийсь час автомобіль, рухаючись з постійним прискоренням 1,6 м/с2, збільшить свою швидкість з 11 м/с до 19 м/с?

варіанти відповідей

3 с

5 с

9 с

12 с

Створюйте онлайн-тести
для контролю знань і залучення учнів
до активної роботи у класі та вдома

Створити тест