Прості механізми

Додано: 15 вересня 2025
Предмет: Фізика, 8 клас
12 запитань
Запитання 1

Нерухомий блок ...

варіанти відповідей

дає виграш в силі

дає виграш в відстані

дає виграш в швидкості

 змінює напрямок дії сили

Запитання 2

Рухомий блок ...

варіанти відповідей

дає виграш в силі

дає виграш в відстані

дає виграш в швидкості

Усі відповіді правильні

Запитання 3

Одиницею вимірювання моменту сили є ...

варіанти відповідей

Н

м

Нм

Нм2

Запитання 4

Клин зображено на малюнку ...

варіанти відповідей

1

2

3

4

5

6

Запитання 5

Який відрізок є плечем сили F?

варіанти відповідей

AB

BC

AC

Запитання 6

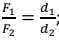
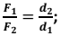
Яка формула визначає умову рівноваги важеля?

варіанти відповідей
Запитання 7

"Дайте мені точку опори, і я переверну Землю!"? Це сказав ...

варіанти відповідей

Галілео Галілей

Ньютон

Архимед

Арістотель

Запитання 8

Вантаж якої маси можливо підняти за допомогою нерухомого блока, якщо тягнути вірьовку з силою 100 Н?

варіанти відповідей

100 кг

10 кг

1000 кг

50 кг

Запитання 9

Який виграш у силі дає нерухомий блок?

варіанти відповідей

У три рази

 У два рази

 Не дає виграшу у силі

У чотири рази

Запитання 10

Чому ручку дверей розташовують ближче до краю?

варіанти відповідей

Для зручності

Щоб отримати виграш в силі

Щоб отримати виграш в переміщенні

Запитання 11

З якою метою використовують похилу площину?

варіанти відповідей

 Щоб виграти шлях

Щоб змінити напрям дії сили

Для виграшу у силі

Запитання 12

Важіль знаходиться в рівновазі, коли... 

варіанти відповідей

сили рівні по обидва боки від осі

моменти сил рівні по обидва боки від осі

довжини плечей рівні

Створюйте онлайн-тести
для контролю знань і залучення учнів
до активної роботи у класі та вдома

Створити тест