Підсумковий тест з теми "Раціональні вирази"

Додано: 30 квітня 2024
Предмет: Алгебра, 8 клас
Копія з тесту: Раціональні вирази
17 запитань
Запитання 1

При яких значеннях змінної не має змісту вираз

варіанти відповідей

3

4

0

5

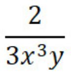
Запитання 2

При яких значеннях змінної не має змісту вираз

варіанти відповідей

3

0

-3

3; -3

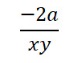
Запитання 3

Скоротіть дріб

варіанти відповідей
Запитання 4

Скоротіть дріб 744835_1570046628.JPG

варіанти відповідей
Запитання 5

Скоротити дріб

варіанти відповідей
Запитання 6

Виконайте віднімання

варіанти відповідей
Запитання 7

Виконайте віднімання

варіанти відповідей
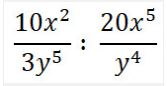
Запитання 8

Виконайте дію

варіанти відповідей
Запитання 9

Виконайте віднімання

варіанти відповідей
Запитання 10

Спростіть вираз

варіанти відповідей
Запитання 11

Обчисліть значення виразу

варіанти відповідей

1,5

1,2

6,2

0,5

Запитання 12

Оберіть правильний варіант

варіанти відповідей

а0=0

 а0=1

а0

усі варіанти вірні

Запитання 13

Які з чисел записані в стандартному вигляді?

варіанти відповідей

 11⋅104

7,1⋅203

0,101⋅103

1,01⋅105

Запитання 14

Спростити

варіанти відповідей

512

25

(⅕)-2

Запитання 15

Скоротіть дріб

варіанти відповідей
Запитання 16

Піднесіть дріб до степеня

варіанти відповідей
Запитання 17

Спростіть вираз

варіанти відповідей

Створюйте онлайн-тести
для контролю знань і залучення учнів
до активної роботи у класі та вдома

Створити тест