РОЗВ’ЯЗУВАННЯ КВАДРАТНИХ НЕРІВНОСТЕЙ. МЕТОД ІНТЕРВАЛІВ

Додано: 9 грудня 2025
Предмет: Алгебра, 9 клас
5 запитань
Запитання 1

Розв’яжи квадратну нерівність x2 – 6x ⩾ 0. Розв'язок надіслати в classroom!

варіанти відповідей

(-∞;0)⋃(6;+∞)

(-∞;6)⋃(0;+∞)

(-∞;0]⋃[6;+∞)

(-∞;+∞)

Запитання 2

Розв’яжи квадратну нерівність 5x2 – 7x + 2 < 0. Розв'язок надіслати в classroom!

варіанти відповідей

(2/5;1)

(1;2/5)

(2,5;1)

(1;+∞)

Запитання 3

Розв’яжи нерівність методом інтервалів x(x – 3)(x + 4) ⩽ 0. Розв'язок надіслати в classroom!

варіанти відповідей

(-∞;4)∪[0;3]

(-∞;-4]∪[0;3]

(-∞;-4]∪(0;3)

(-∞;-4)∪(0;3)

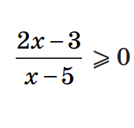
Запитання 4

Розв’яжи нерівність методом інтервалів. Розв'язок надіслати в classroom!

варіанти відповідей

(-∞;3/2]∪(5;+∞)

(-∞;-1.5]∪[5;+∞)

(3/2;5)

(-∞;+∞)

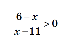
Запитання 5

Розв’яжи нерівність методом інтервалів. Розв'язок надіслати в classroom!

варіанти відповідей

[6;11)

(6;11]

[6;11]

(6;11)

Створюйте онлайн-тести
для контролю знань і залучення учнів
до активної роботи у класі та вдома

Створити тест