Розв'язування нерІвностей

Додано: 19 квітня
Предмет: Алгебра, 9 клас
8 запитань
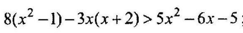
Запитання 1

Розв'яжіть нерівність

варіанти відповідей

⌈8; +∞)

(5; +∞)

(-∞; 8)

(8; +∞)

(- ∞; - 17⌉

Запитання 2

Розв'яжіть нерівність

варіанти відповідей

(8; +∞)

(-8; +∞)

( - ∞; 12)

( - ∞; - 2)

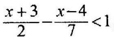
Запитання 3

Розв'яжіть нерівність

варіанти відповідей

( - ∞; 90/23)

( 90/23; + ∞ )

(8; + ∞)

(18; + ∞)

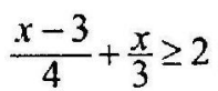
Запитання 4

Розв'яжіть нерівність

варіанти відповідей

(4/17; + ∞)

(-4; + ∞)

(-4/17; + ∞)

(-17; + ∞)

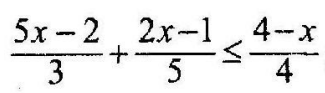
Запитання 5

Розв'яжіть нерівність

варіанти відповідей

(4 5/7 ; + ∞)

⌈5/7 ; + ∞)

⌈4 5/7 ; + ∞)

(47 ; + ∞)

Запитання 6

Розв'яжіть нерівність

варіанти відповідей

( - ∞ ; - 3⌉

( - ∞ ; - 6)

( - ∞ ; - 5)

( - ∞ ; - 3)

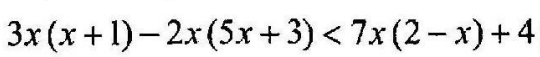
Запитання 7

Розв'яжіть нерівність

варіанти відповідей

( - ∞ ; - 112/139 )

( - ∞ ; - 112 )

( - ∞ ; 9 )

( - ∞ ; 112/139 

Запитання 8

Розв'яжіть нерівність

варіанти відповідей

не має розв'язків

( - ∞ ; -6 )

( - ∞ ; 3)

( -6 ; + ∞ )

Створюйте онлайн-тести
для контролю знань і залучення учнів
до активної роботи у класі та вдома

Створити тест