Розв’язування систем двох лінійних рівнянь з двома змінними графічним способом

9 запитань
Запитання 1

Закінчіть речення: "Розв*язком системи рівнянь з двома змінними є...

варіанти відповідей

число х

пара чисел (х; у)

пара чисел (х; у) , які задовільняють кожне рівняння системи

число у

Запитання 2

Закінчіть речення: " Розв*язати систему рівнянь з двома змінними означає...

варіанти відповідей

знайти її розв*язки або довести, що їх немає

знайти х

знайти у

довести, що розв*язків немає

Запитання 3

Якщо дві прямі, які є графіками лінійних рівнянь з двома змінними перетинаються в одній точці, то система має

варіанти відповідей

безліч розв*язків

один розв*язок

розв*язків немає

інша відповідь

Запитання 4

Якщо дві прямі, які є графіками лінійних рівнянь з двома змінними не перетинаються , то система має 

варіанти відповідей

один розв*язок 

безліч розв*язків 

немає розв*язків

інша відповідь

Запитання 5

Якщо дві прямі, які є графіками лінійних рівнянь з двома змінними збігаються , то система має      

варіанти відповідей

Безліч розв*язків

Розв*язків немає

Один роза*язок 

інша відповідь

Запитання 6

Якщо одне рівняння системи не має розв*язків, то і вся система не має розв*язків



варіанти відповідей

Так

Ні

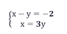
Запитання 7

Розв'яжіть систему рівнянь графічним способом, 

Фото розв'язку прикріпити в Classroom

варіанти відповідей

(2; 3)

( -2; 3)     

  ( 3; - 2)

(3; 2)

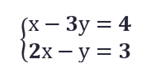
Запитання 8

Розв'яжіть систему рівнянь графічним способом у відповідь запишіть суму х та у

Фото розв'язку прикріпити в Classroom

варіанти відповідей

4        

 

- 3

2

- 4

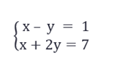
Запитання 9

Розв'яжіть систему рівнянь графічним способом, у відповідь запишіть добуток х та у

Фото розв'язку прикріпити в Classroom

варіанти відповідей

1

- 1

2

-2

Створюйте онлайн-тести
для контролю знань і залучення учнів
до активної роботи у класі та вдома

Створити тест