Розв’язування систем лінійних рівнянь

Додано: 16 квітня
Предмет: Алгебра, 7 клас
6 запитань
Запитання 1

Розв'язком системи двох лінійних рівнянь з двома змінними є ...

варіанти відповідей

 пара чисел, що є розв'язком одного з двох рівнянь системи

 пара чисел, які задовольняють кожне рівняння системи

пара чисел (х; у)

Запитання 2

У рівнянні х – у = 7 виразіть змінну х через змінну у

варіанти відповідей

х = 7 – у

х = 7 + у

х = у – 7

у = х – 7

Запитання 3

Через яку з даних точок проходить графік рівняння х – 2у = 10 ?

варіанти відповідей

(20; 0)

(0; 20)

(0; 5)

(10; 0)

Запитання 4

Що означає розв'язати систему рівнянь?

варіанти відповідей

Знайти всі спільні розв'язки кількох рівнянь

Побудувати графік

Розв'язати одне з рівнянь цієї системи

Знайти всі її розв'язки або довести, що розв'язків немає

Запитання 5

Знайдіть розв'язок системи рівнянь

варіанти відповідей

(1; 2)

(2; 1)

(2; -1)

(-1; 2)

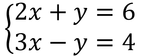
Запитання 6

Знайдіть розв'язок системи рівнянь

варіанти відповідей

(-2;2)

(-3;4)

(2; 2)

(3;-4)

Створюйте онлайн-тести
для контролю знань і залучення учнів
до активної роботи у класі та вдома

Створити тест