Розв’язування систем лінійних рівнянь з двома змінними графічним способом

13 запитань
Запитання 1

Закінчіть речення: «Розв’язком системи рівнянь із двома змінними є...»

варіанти відповідей

число x

пара чисел (x;y)

пара чисел (х;у), які задовольняють кожне рівняння системи

Запитання 2

Розв’язати систему рівнянь із двома змінними означає...

варіанти відповідей

знайти її розв’язки або довести, що їх немає

знайти y

довести, що роз'язків немає

 знайти x

Запитання 3

Скільки розв'язків має система, якщо дві прямі, які є графіками лінійних рівнянь з двома змінними, перетинаються в одній точці

варіанти відповідей

безліч розв'язків

жодного

один

два

Запитання 4

Якщо дві прямі, які є графіками лінійних рівнянь з двома змінними, не перетинаються, то скільки розв'язків має система

варіанти відповідей

один

жодного

безліч

інша відповідь

Запитання 5

Скільки розв’язків має система рівнянь, якщо дві прямі, які є графіками лінійних рівнянь з двома змінними, збігаються

варіанти відповідей

один

безліч

жодного

інша відповідь

Запитання 6

Скільки розв’язків має система рівнянь графік якої зображено на малюнку?

варіанти відповідей

1

2

3

жодного

Запитання 7

Укажіть кількість розв’язків, які має система рівнянь графік якої зображено на малюнку?

варіанти відповідей

1

2

безліч

жодного

Запитання 8

За даними рисунка записати розв'язок системи

варіанти відповідей

(1;3)

(3;1)

(5;1)

(-1;3)

Запитання 9

За даними рисунка записати розв'язок системи

варіанти відповідей

(3;0)

(0;3)

(-1;3)

(-3;0)

Запитання 10

Скільки розв'язків має системи двох лінійних рівнянь зображених на малюнку: 

варіанти відповідей

1

2

безліч

жодного

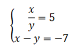
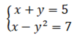
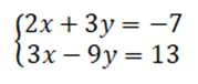
Запитання 11

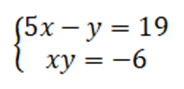
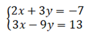
Які із систем є системою двох лінійних рівнянь з двома змінними?

варіанти відповідей
Запитання 12

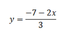
Виразіть із рівняння 2х+3у=12 змінну y через змінну х.


варіанти відповідей

у = 4 + 2/3x

x = 6 + 1,5y

x = 6 - 1,5y

y = 4 - 2/3x

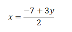
Запитання 13

Виразіть із системи з першого рівняння змінну х через змінну y.


варіанти відповідей

Створюйте онлайн-тести
для контролю знань і залучення учнів
до активної роботи у класі та вдома

Створити тест