23.04 7 клас Розв’язування систем лінійних рівнянь

12 запитань
Запитання 1

Закінчіть речення: «Розв’язком системи рівнянь із двома змінними є...»

варіанти відповідей

число x

пара чисел (x;y)

пара чисел (х;у), які задовольняють кожне рівняння системи

Запитання 2

Скільки розв’язків має система рівнянь графік якої зображено на малюнку?

варіанти відповідей

1

2

3

жодного

Запитання 3

Укажіть кількість розв’язків, які має система рівнянь графік якої зображено на малюнку?

варіанти відповідей

1

2

безліч

жодного

Запитання 4

За даними рисунка записати розв'язок системи

варіанти відповідей

(1;3)

(3;1)

(5;1)

(-1;3)

Запитання 5

За даними рисунка записати розв'язок системи

варіанти відповідей

(3;0)

(0;3)

(-1;3)

(-3;0)

Запитання 6

Скільки розв'язків має системи двох лінійних рівнянь зображених на малюнку: 

варіанти відповідей

1

2

безліч

жодного

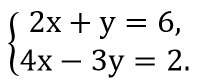
Запитання 7

Розв’яжіть систему рівнянь способом підстановки. У відповідь запишіть добуток координат розв’язку системи.(хy)

варіанти відповідей

4

-4

2

-2

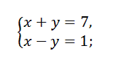
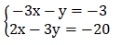
Запитання 8

Розв'яжіть систему рівнянь: 

варіанти відповідей

(-2; 3)

(2; 3)

(2; -3)

(-2 ; -3)

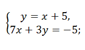
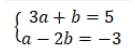
Запитання 9

Яка пара чисел є розв'язком системи рівнянь:

варіанти відповідей

(4 ;3)

(-4 ;3)

(-4 ;-3)

(4 ; -3)

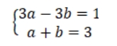
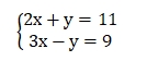
Запитання 10

Яка з пар чисел (х; у) є розв'язком системи рівнянь

варіанти відповідей

 (4; -3)

 (4; 3)

 (4; 19)

(4; 21)

Запитання 11

Розв'язком якої системи є пара чисел (1; 2)?

варіанти відповідей
Запитання 12

Назви 3 способи розв'язання систем рівнянь

варіанти відповідей

підстановки

додавання

графічний

гадання

Створюйте онлайн-тести
для контролю знань і залучення учнів
до активної роботи у класі та вдома

Створити тест