Розв’язування систем лінійних рівнянь з двома змінними способом підстановки

10 запитань
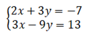
Запитання 1

Розв’яжіть систему рівнянь способом підстановки. У відповідь запишіть добуток координат розв’язку системи (ху)

варіанти відповідей

4

− 4

2

− 2

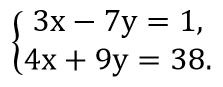
Запитання 2

Розв'яжіть систему рівнянь

варіанти відповідей

(− 2; 3)

(2; 3)

(2; − 3)

(− 2 ; − 3)

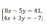
Запитання 3

Яка пара чисел є розв'язком системи рівнянь

варіанти відповідей

(4; 3)

(− 4; 3)

(− 4; − 3)

(4; − 3)

Запитання 4

Розв'яжіть систему рівнянь. У відповіді вкажіть суму (х + у) розв'язків системи рівнянь

варіанти відповідей

− 3

3

5

− 5

Запитання 5

Розв’яжіть систему рівнянь способом підстановки. У відповідь запишіть різницю координат розв’язку системи (х − у)

варіанти відповідей

3

2

5

4

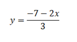
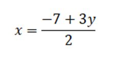
Запитання 6

Виразіть із першого рівняння системи змінну х через змінну y

варіанти відповідей
Запитання 7

Визначте, у якій з наведених нижче рівностей правильно виконано підстановку для розв'язування системи рівнянь

варіанти відповідей

2(3у − 2) + у = 6

4(6 − у) − 3у = 2

4х − 3(6 − 2х) = 2

2х + (2 − 4х) = 6

Запитання 8

Яку змінну краще виразити і з якого рівняння

варіанти відповідей

х з першого рівняння

у з першого рівняння

х з другого рівняння

у з другого рівняння

Запитання 9

Укажіть рівність, у якій правильно виконано підстановку

варіанти відповідей

7х + 3(х + 5) = − 5

7(у + 5) + 3у = − 5

7(х + 5) + 3у = − 5

7х + 3(у + 5) = − 5

Запитання 10

Укажіть рівність, у якій правильно виражено змінну у через змінну х

варіанти відповідей

х = 7 − у

у = 7 − х

х = 1 + у

у = 1 − х

Створюйте онлайн-тести
для контролю знань і залучення учнів
до активної роботи у класі та вдома

Створити тест