самостійна робота 1 алгебра 19.09.25

Додано: 18 вересня 2025
Предмет: Алгебра, 7 клас
11 запитань
Запитання 1

обчисли

x -(-26) , якщо x = - 8 ;

варіанти відповідей

18

- 18

34

- 34

Запитання 2

Спрости вираз

-3m+15m-5m =

варіанти відповідей

7m

-7m

7

23m

Запитання 3

спрости вираз

- 0,8x + 5,6y - 0,2x - 2y =


варіанти відповідей

-0,6х +3,6у

-х+3,6у

-х+5,4у

х-3,6у

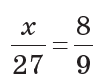
Запитання 4

Знайди невідомий член пропорції


варіанти відповідей

х= 24

х=3

х=26

х=8

Запитання 5

Знайди невідомий член пропорції

2:5 = x :30

варіанти відповідей

х=2

х=6

х=12

х=3

Запитання 6

Розв’яжи рівняння

-8x + (-25x -1) = -25x -17 ;

варіанти відповідей

х=-2

х=2

х=16\58

Запитання 7

Розв’яжи рівняння

-5b + 0,2+3b =1-2b ;

варіанти відповідей

х=0

х=0,8

не має розвязків

безліч розвязків

Запитання 8

Знайди область допустимих значень змінної

варіанти відповідей

всі числа

всі числа крім х=0

всі числа крім х=2

Запитання 9

Яке з тверджень хибне?

варіанти відповідей

–10 — натуральне число;

–10 — раціональне число

–10 — від’ємне число;

–10 — ціле число

Запитання 10

Визнач, який із наведених виразів є записом суми частки чисел 3 і c та частки

чисел d і 4.

варіанти відповідей

c :3+ 4:d

3: c −d:4

3: c + d:4

Запитання 11

За 3 м тканини заплатили 2700 грн. Скільки коштує 8 м цієї тканини?

варіанти відповідей

7200 грн

1012,5 грн

720грн

112,5 грн

Створюйте онлайн-тести
для контролю знань і залучення учнів
до активної роботи у класі та вдома

Створити тест