ГР1 Функція. Область визначення і область значень функції. Способи задання функції

12 запитань
Запитання 1

Функція це - ...

варіанти відповідей

залежність між змінними x та y, при якій кожному значенню x відповідає єдине значення змінної y.

залежність між змінними x та y

залежність між змінними x та y, при якій кожному значенню x відповідає два значення змінної y.

залежність між змінними x та y, при якій кожному значенню y відповідає єдине значення змінної x.

Запитання 2

Як називають незалежну змінну x?

варіанти відповідей

Значення функції

Аргумент

Параметр

Область значень

Запитання 3

Як називають залежну змінну у?

варіанти відповідей

аргумент

значення функції

область значень

абсциса

Запитання 4

Що називають областю визначення функції?

варіанти відповідей

Усі значення, яких може набувати залежна змінна y

Усі значення, яких може набувати незалежна змінна x

Будь-які числа

Координати точок на графіку

Запитання 5

Область значень функції це...

варіанти відповідей

множина всіх значень, яких набуває залежна змінна

множина всіх значень, яких набуває незалежна змінна

множина всіх значень, яких набувають аргумент та функція

Запитання 6

Функцію можна задати:

варіанти відповідей

Рисунком

Таблицею

Піснею

Графіком

Формулою

Описом

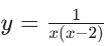
Запитання 7

Знайдіть область визначення функції

варіанти відповідей

х - будь-яке число

х - будь-яке число, крім 1

х - будь-яке число, крім 0

х - будь-яке число, крім 3

Запитання 8

Знайдіть значення аргументу, при якому значення функції y = 7х +1 дорівнює -13.

варіанти відповідей

-12;

 -2;

2;

12

Запитання 9

Функцію задано формулою у = 2х + 5. Знайдіть значення функції при якому х= −4.

варіанти відповідей

 -3

 5

1

-1

Запитання 10

Функцію задано за допомогою таблиці. Знайдіть значення функції при х = –2, х = 2.

варіанти відповідей

у = 0; у = 1

у = –1; у = 1

у = –2; у = 0

у = 2; у = 1

Запитання 11

Функцію задано формулою у = 4х – 8. Знайдіть значення аргументу, при якому у = 16.

варіанти відповідей

2

4

6

8

Запитання 12

Знайдіть область визначення функції

варіанти відповідей

х - будь-яке число, крім 0

х - будь-яке число, крім 2

х - будь-яке число, крім 0 і 2

х - будь-яке число

Створюйте онлайн-тести
для контролю знань і залучення учнів
до активної роботи у класі та вдома

Створити тест