30.04. Похідна складеної функції. 10 клас

Додано: 30 квітня 2025
Предмет: Алгебра, 10 клас
6 запитань
Запитання 1

Знайдіть похідну функції у = 8х5 + 3х2 − 7

варіанти відповідей

4 + 3

40х4 + 3

40х4+ 6х

40х4 + 3х2 − 7

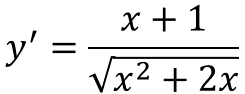
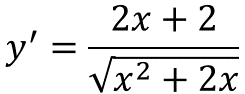
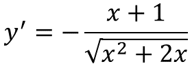
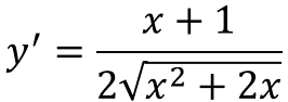
Запитання 2

Знайти похідну складеної функції:

Фото розв'язку надіслати.

варіанти відповідей
Запитання 3

Знайдіть похідну функції у = 2(х2-2)6

варіанти відповідей

24х(х-2)5

12х5

10х5

24х(х2-2)5

Запитання 4

Знайдіть похідну функції у=(х3-2)(х2+1)

варіанти відповідей

4+3-4х

4+3х2-4

4+3х2-4х

4-3х2-4х

Запитання 5

Запишіть рівняння дотичної до графіка функції у= х³ + х, х0=1

Фото розв'язку надіслати.

варіанти відповідей

у = 4х +1

у = -4x - 1

у = 2х - 2

у = 4х - 2

Запитання 6

Розвʼяжіть рівняння

f′(x) - f(x)=0, якщо f(x)=x5

варіанти відповідей

0

5

0; -5

0; 5

Створюйте онлайн-тести
для контролю знань і залучення учнів
до активної роботи у класі та вдома

Створити тест